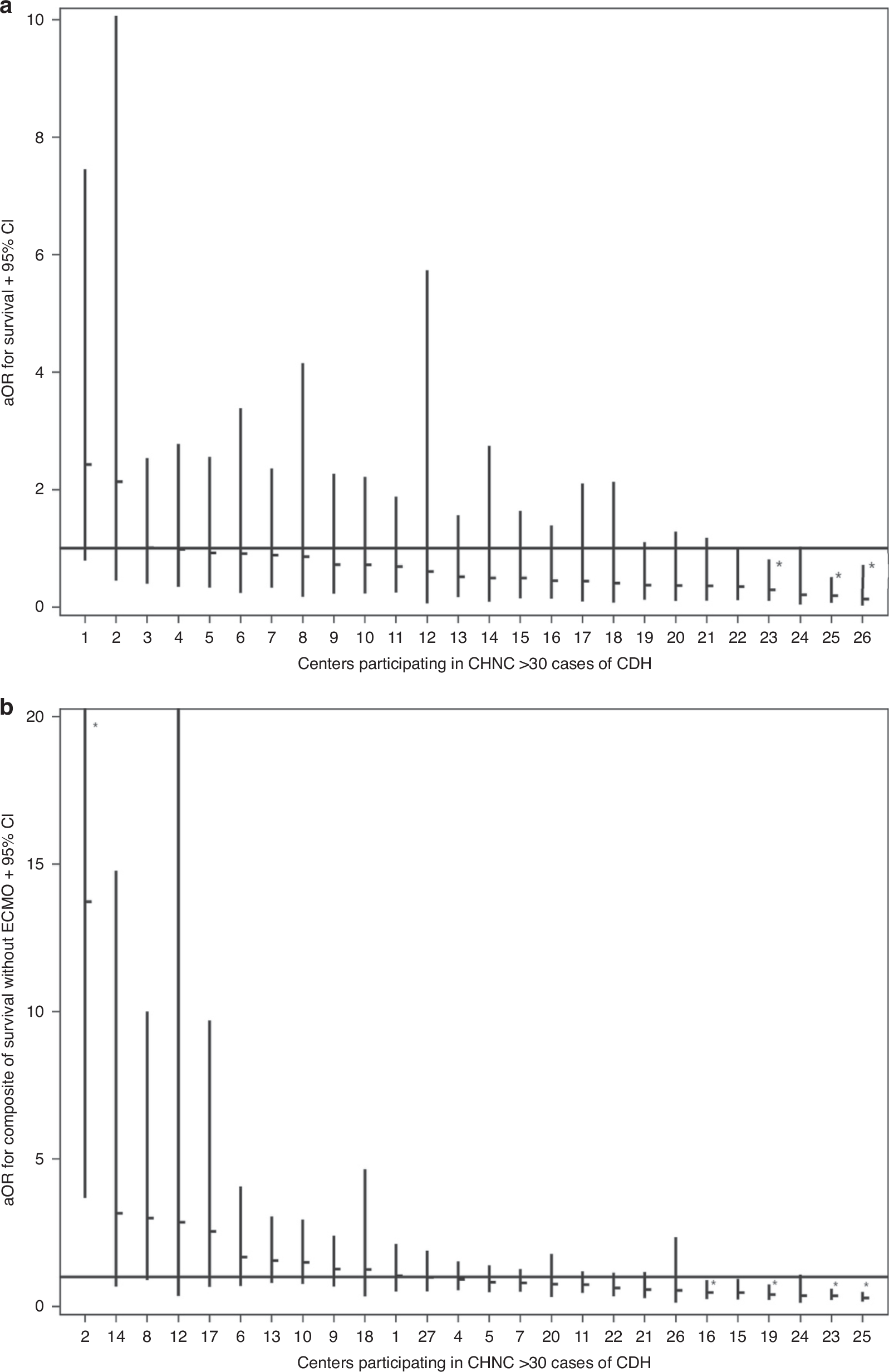
Fig. 1: Adjusted survival odds ratios (aOR) by center.

a This panel illustrates the adjusted odds ratios (aOR) for survival across centers 1–26, including patients treated with and without ECMO. The centers are organized from highest to lowest aOR. Each horizontal dash represents the aOR for a center, with vertical lines indicating the 95% confidence intervals (CI). b This panel shows the aOR for survival for each center, similarly, organized from highest to lowest aOR. The aOR for each center is displayed as a horizontal dash, with vertical lines depicting the corresponding 95% CI.