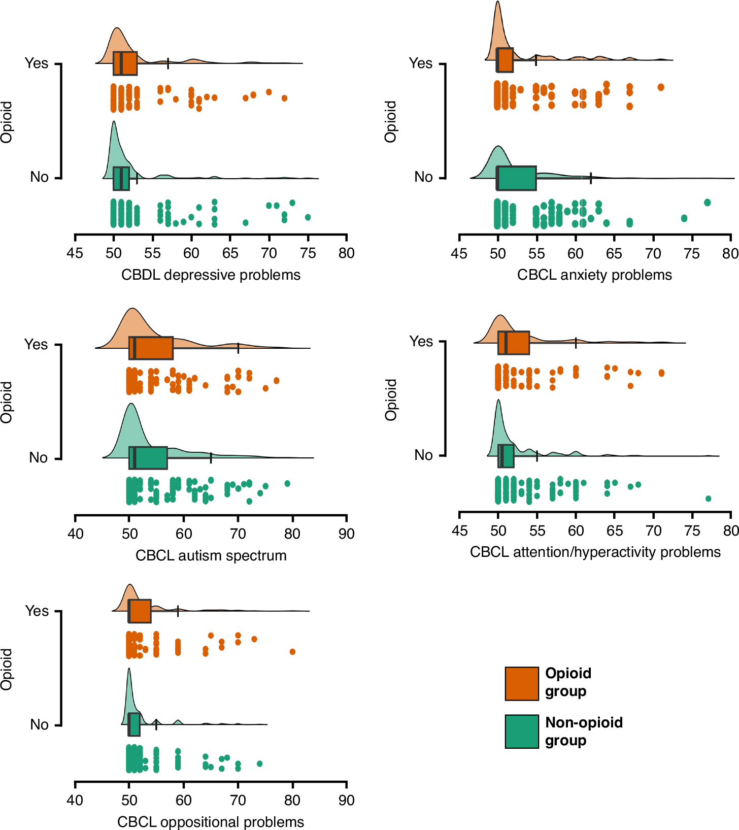
Fig. 3
From: Cognitive, motor, and behavioral outcomes in preterm infants exposed to opioids

Mean scoring distribution of CBCL values based on DSM-V interpretation.
From: Cognitive, motor, and behavioral outcomes in preterm infants exposed to opioids

Mean scoring distribution of CBCL values based on DSM-V interpretation.