Fig. 5
From: Cognitive, motor, and behavioral outcomes in preterm infants exposed to opioids

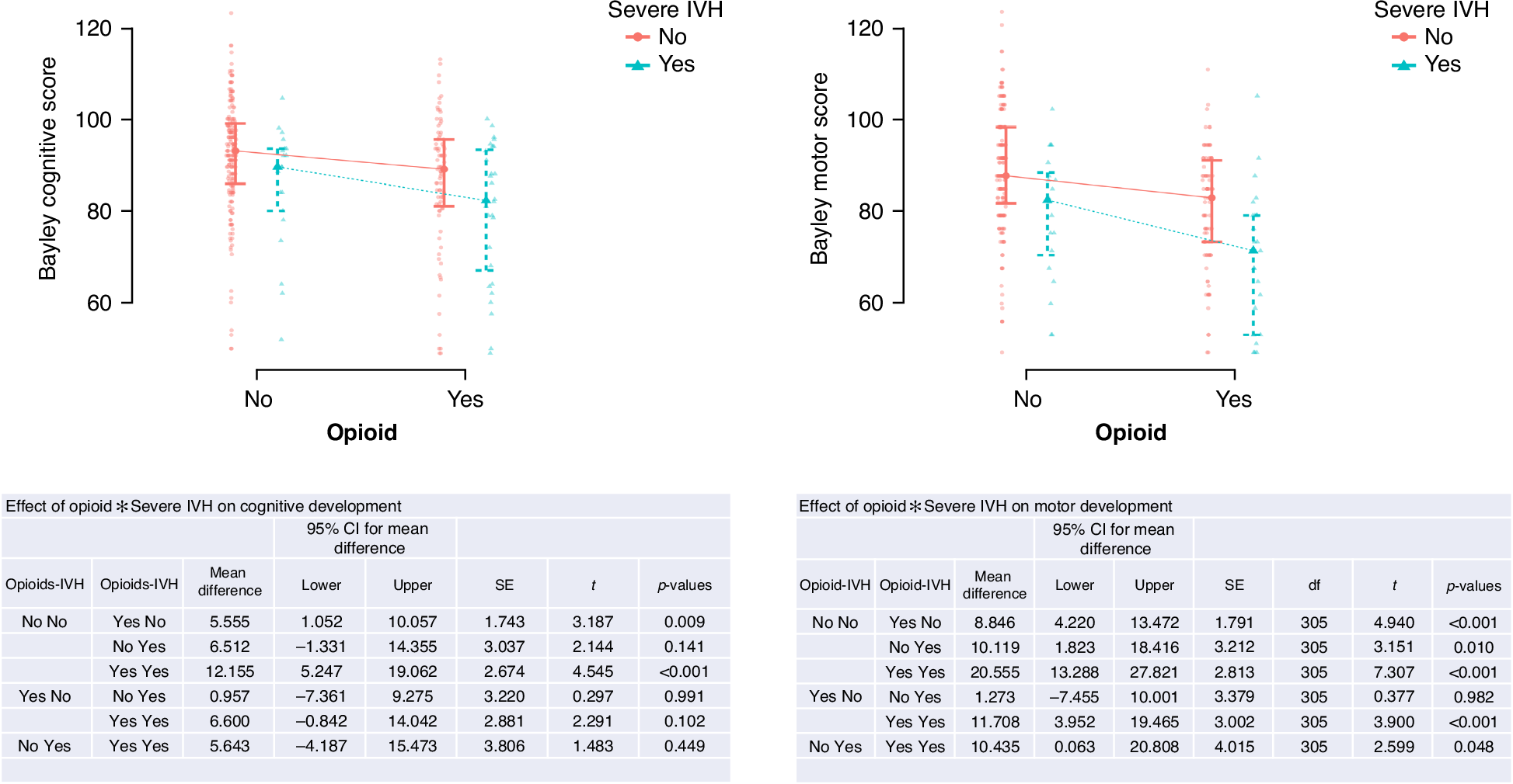
MANOVA contextualizing the impact of opioids and IVH on outcomes.
From: Cognitive, motor, and behavioral outcomes in preterm infants exposed to opioids

MANOVA contextualizing the impact of opioids and IVH on outcomes.