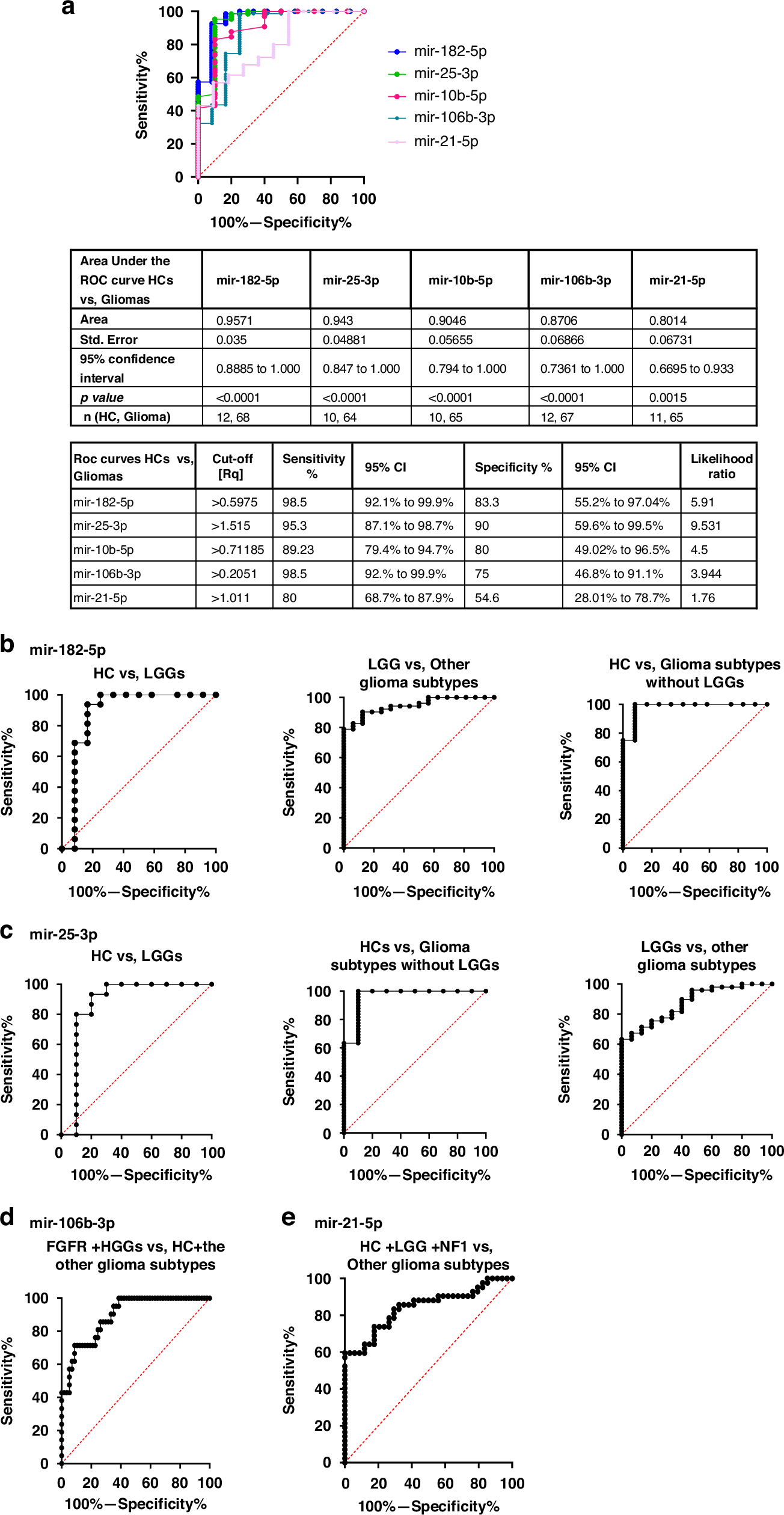
Fig. 2: Receiver operator characteristic (ROC) curves.
From: Circulating miRNAs as potential liquid biomarkers for pediatric gliomas

For each miRNA to evaluate their potential as liquid biomarkers for pediatric glioma patients’ diagnostic discrimination. a ROC curves analysis demonstrating the power of each miRNA to discriminate Gliomas from healthy controls; b ROC curves analysis for circulating mir-182-5p demonstrating diagnostic discrimination between pediatric HCs, pediatric LGGs, and a third pediatric group that includes OG, LGG.NF1 (NF1), LGG.FGFRs (FGFR), BS&SC.LGG (BS&SC) and HGGs; c ROC curves analysis for circulating mir-25-3p, presenting diagnostic discrimination between pediatric HCs, LGGs and a third group of pediatric gliomas that includes OG, NF1, FGFRs, BS&SC and HGGs; d ROC curves analysis for circulating mir-106b-3p, presenting potential diagnostic discrimination between two statistically different pediatric groups, one comprise of FGFR and HGGs, and the other include HC with the other glioma subtypes (HC + LGGs + OGs + NF1 + BS&SC); e ROC curves analysis for circulating mir-21-5p present potential discrimination between two statistically different pediatric groups, the first includes HCs, LGG and NF1 and the second comprise of the other glioma subtypes (OG + FGFRs + BS&SC + HGGs).