Abstract
Objective
This study aimed to systematically evaluate the acute and long-term effects of exercise interventions on executive function in children and adolescents with attention-deficit/hyperactivity disorder (ADHD), using Bayesian dose–response modelling to identify optimal dose ranges and modality-specific effects.
Methods
A systematic search of five major databases (PubMed, Web of Science, Embase, Cochrane Library, and APA PsycInfo) was conducted up to March 2025. Thirty-three eligible studies were included, comprising 10 acute and 23 long-term exercise intervention trials. Bayesian non-linear dose–response models were applied to determine optimal doses for three executive function domains: cognitive flexibility, working memory, and inhibitory control.
Results
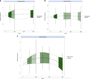
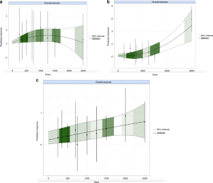
Exercise interventions significantly improved executive function in youth with ADHD and showed clear dose-dependent patterns. In acute interventions, optimal doses were 270 METs for cognitive flexibility, 170 METs for working memory, and 130 METs for inhibitory control. In long-term interventions, optimal weekly doses were 1100, 1300, and 2500 METs, respectively. Different exercise modalities yielded varying effects across executive domains.
Conclusion
Exercise benefits executive function in children and adolescents with ADHD, with effects influenced by both dose and modality. This study proposes a “dose–domain–modality” framework, offering empirical support for individualized, precision-based exercise prescriptions.
Impact
-
This is the first systematic review and dose–response meta-analysis quantifying acute and long-term effects of exercise on executive function in ADHD youth, identifying domain-specific optimal doses for cognitive flexibility, working memory, and inhibitory control across 33 studies.
-
By integrating Bayesian modeling and network meta-analytic methods, the study introduces a “dose–domain–modality” framework, offering novel empirical support for individualized, function-targeted exercise prescriptions.
-
It moves beyond merely showing effectiveness or a single “optimal” dose, emphasizing precise prescriptions tailored to executive function domains for targeted cognitive enhancement.
This is a preview of subscription content, access via your institution
Access options
Subscribe to this journal
Receive 14 print issues and online access
$259.00 per year
only $18.50 per issue
Buy this article
- Purchase on SpringerLink
- Instant access to the full article PDF.
USD 39.95
Prices may be subject to local taxes which are calculated during checkout



Similar content being viewed by others
Data availability
This study is a systematic review and network meta-analysis and does not involve the generation of new data.
References
Deborah, M. C. & Nicky, J. W. Approaches for synthesising complex mental health interventions in meta-analysis. Evid. Based Ment. Health 19, 16 (2016).
Ayano, G., Demelash, S., Gizachew, Y., Tsegay, L. & Alati, R. The global prevalence of attention deficit hyperactivity disorder in children and adolescents: an umbrella review of meta-analyses. J. Affect. Disord. 339, 860–866 (2023).
Waltereit, R., Ehrlich, S. & Roessner, V. First-time diagnosis of ADHD in adults: challenge to retrospectively assess childhood symptoms of ADHD from long-term memory. Eur. Child Adolesc. Psychiatry 32, 1333–1335 (2023).
Mechler, K., Banaschewski, T., Hohmann, S. & Häge, A. Evidence-based pharmacological treatment options for ADHD in children and adolescents. Pharmacol. Ther. 230, 107940 (2022).
Chan, A. Y. L. et al. Attention-deficit/hyperactivity disorder medication consumption in 64 countries and regions from 2015 to 2019: a longitudinal study. eClinicalMedicine 58, 101780 (2023).
Voss, M. W. et al. Acute exercise effects predict training change in cognition and connectivity. Med. Sci. Sports Exerc. 52, 131–140 (2020).
Chan, Y.-S., Jang, J.-T. & Ho, C.-S. Effects of physical exercise on children with attention deficit hyperactivity disorder. Biomed. J. 45, 265–270 (2022).
Dastamooz, S. et al. The efficacy of physical exercise interventions on mental health, cognitive function, and ADHD symptoms in children and adolescents with ADHD: an umbrella review. EClinicalMedicine 62, 102137 (2023).
Cerrillo-Urbina, A. J. et al. The effects of long-acting stimulant and nonstimulant medications in children and adolescents with attention-deficit/hyperactivity disorder: a meta-analysis of randomized controlled trials. J. Child Adolesc. Psychopharmacol. 28, 494–507 (2018).
Biederman, J. et al. How frequent is switching from an initial stimulant family to the alternative one in the clinical setting?: a pilot study of 49 consecutively referred medication-naive adults with attention-deficit/hyperactivity disorder. J. Clin. Psychopharmacol. 41, 310–314 (2021).
Cortese, S. et al. Comparative efficacy and tolerability of medications for attention-deficit hyperactivity disorder in children, adolescents, and adults: a systematic review and network meta-analysis. Lancet Psychiatry 5, 727–738 (2018).
Neva, J. L. et al. Acute high-intensity interval exercise modulates corticospinal excitability in older adults. Med. Sci. Sports Exerc. 54, 673–682 (2022).
Chen, J. W. & Zhu, K. Single exercise for core symptoms and executive functions in ADHD: a systematic review and meta-analysis. J. Atten. Disord. 28, 399–414 (2024).
Jia, M. Y., Hu, F. T. & Yang, D. Effects of different exercise modalities on pediatric and adolescent populations with developmental disorders: a network meta-analysis of randomized controlled trials. Eur J. Pediatr. 184, 18 (2024).
Chen, J. W., Du, W. Q. & Zhu, K. Optimal exercise intensity for improving executive function in patients with attention deficit hyperactivity disorder: systematic review and network meta-analysis. Eur. Child Adolesc. Psychiatry 34, 497–518 (2025).
Song, X. et al. Exploring the impact of different types of exercise on working memory in children with ADHD: a network meta-analysis. Front. Psychol. 16, (2025).
Garrett, J., Chak, C., Bullock, T. & Giesbrecht, B. A systematic review and Bayesian meta-analysis provide evidence for an effect of acute physical activity on cognition in young adults. Commun. Psychol. 2, 82 (2024).
Page, M. J. et al. PRISMA 2020 explanation and elaboration: updated guidance and exemplars for reporting systematic reviews. BMJ 372, n160 (2021).
Cree, R. A. et al. Surveillance of ADHD among children in the United States: validity and reliability of parent report of provider diagnosis. J. Atten. Disord. 27, 111–123 (2023).
Pontifex, M. B. et al. A primer on investigating the after effects of acute bouts of physical activity on cognition. Psychol. Sport Exerc. 40, 1–22 (2019).
Clarke, A. R., Barry, R. J. & Johnstone, S. Resting state EEG power research in attention-deficit/hyperactivity disorder: a review update. Clin. Neurophysiol. 131, 1463–1479 (2020).
Fandim, J. V., Crowe-Owen, L., Romanyshyn, M. & Chan, S. W. W. Reasons to become a volunteer rater for the Physiotherapy Evidence Database (PEDro). J. Physiother. 68, 215–217 (2022).
Liu, Y., Christensen, P. M., Hellsten, Y. & Gliemann, L. Effects of exercise training intensity and duration on skeletal muscle capillarization in healthy subjects: a meta-analysis. Med. Sci. Sports Exerc. 54, 1714–1728 (2022).
Luo, D., Wan, X., Liu, J. & Tong, T. Optimally estimating the sample mean from the sample size, median, mid-range, and/or mid-quartile range. Stat. Methods Med. Res. 27, 1785–1805 (2018).
De Miguel-Rubio, A. et al. Virtual reality for upper limb rehabilitation in patients with obstetric brachial palsy: systematic review and meta-analysis of randomized controlled trials. J. Med. Internet Res. 25, e47391 (2023).
Drevon, D., Fursa, S. R. & Malcolm, A. L. Intercoder reliability and validity of webplotdigitizer in extracting graphed data. Behav. Modif. 41, 323–339 (2017).
ARNTZ, F. et al. Chronic effects of static stretching exercises on muscle strength and power in healthy individuals across the lifespan: a systematic review with multi-level meta-analysis. Sports Med. 53, 723–745 (2023).
Amer-Cuenca, J. J. et al. The dose-dependent effects of transcutaneous electrical nerve stimulation for pain relief in individuals with fibromyalgia: a systematic review and meta-analysis. PAIN 164, 1645–1657 (2023).
Mawdsley, D., Bennetts, M., Dias, S., Boucher, M. & Welton, N. Model-based network meta-analysis: a framework for evidence synthesis of clinical trial data. CPT Pharmacomet. Syst. Pharmacol. 5, 393–401 (2016).
Wheeler, D. C., Hickson, D. M. A. & Waller, L. A. Assessing local model adequacy in Bayesian hierarchical models using the partitioned deviance information criterion. Comput. Stat. Data Anal. 54, 1657–1671 (2010).
Etzioni, R. D. & Kadane, J. B. Bayesian statistical methods in public health and medicine. Annu. Rev. Public Health 16, 23–41 (1995).
Pedder, H., Dias, S., Bennetts, M., Boucher, M. & Welton, N. J. Modelling time-course relationships with multiple treatments: model-based network meta-analysis for continuous summary outcomes. Res. Synth. Methods 10, 267–286 (2019).
Evans, N. J. Assessing the practical differences between model selection methods in inferences about choice response time tasks. Psychon. Bull. Rev. 26, 1070–1098 (2019).
Butte, N. F. et al. A youth compendium of physical activities: activity codes and metabolic intensities. Med. Sci. Sports Exerc. 50, 246–256 (2018).
Wasfy, M. M. & Baggish, A. L. Exercise dose in clinical practice. Circulation 133, 2297–2313 (2016).
Higgins, J. P. T. et al. Consistency and inconsistency in network meta-analysis: concepts and models for multi-arm studies. Res. Synth. Methods 3, 98–110 (2012).
Kavanagh, B. P. The GRADE system for rating clinical guidelines. PLoS Med. 6, e1000094 (2009).
Chen, J. et al. Relationship between prediction accuracy and feature importance reliability: an empirical and theoretical study. NeuroImage 274, 120115 (2023).
Giordano, G., Gómez-López, M. & Alesi, M. Sports, executive functions and academic performance: a comparison between martial arts, team sports, and sedentary children. Int. J. Environ. Res. Public Health 18, 11745 (2021).
Damrongthai, C. et al. Benefit of human moderate running boosting mood and executive function coinciding with bilateral prefrontal activation. Sci. Rep. 11, 22657 (2021).
Wu, W.-J. et al. A parallel-group study of near-infrared spectroscopy-neurofeedback in children with attention deficit hyperactivity disorder. Psychiatry Res. 309, 114364 (2022).
Deiber, M.-P. et al. Linking alpha oscillations, attention and inhibitory control in adult ADHD with EEG neurofeedback. Neuroimage Clin. 25, 102145 (2020).
Faraone, S. V. et al. The world federation of ADHD international consensus statement: 208 evidence-based conclusions about the disorder. Neurosci. Biobehav. Rev. 128, 789–818 (2021).
Luo, X. et al. A randomized controlled study of remote computerized cognitive, neurofeedback, and combined training in the treatment of children with attention-deficit/hyperactivity disorder. Eur. Child Adolesc. Psychiatry 32, 1475–1486 (2023).
Barry, R. J., De Blasio, F. M., Fogarty, J. S. & Clarke, A. R. Natural alpha frequency components in resting EEG and their relation to arousal. Clin. Neurophysiol. 131, 205–212 (2020).
Chueh, T.-Y. et al. The relationship between internalizing problems and acute exercise duration in children with attention-deficit/hyperactivity disorder: the role of frontal alpha asymmetry. Res. Dev. Disabil. 118, 104063 (2021).
Nejati, V. & Derakhshan, Z. The effect of physical activity with and without cognitive demand on the improvement of executive functions and behavioral symptoms in children with ADHD. Expert Rev. Neurother. 21, 607–614 (2021).
Wigal, S. B., Emmerson, N., Gehricke, J.-G. & Galassetti, P. Exercise: applications to childhood ADHD. J. Atten. Disord. 17, 279–290 (2012).
Sun, W., Yu, M. & Zhou, X. Effects of physical exercise on attention deficit and other major symptoms in children with ADHD: a meta-analysis. Psychiatry Res. 311, 114509 (2022).
França, A. P. et al. Caffeine Consumption plus physical exercise improves behavioral impairments and stimulates neuroplasticity in spontaneously hypertensive rats (SHR): an animal model of attention deficit hyperactivity disorder. Mol. Neurobiol. 57, 3902–3919 (2020).
Christiansen, L. et al. Effects of exercise on cognitive performance in children and adolescents with ADHD: potential mechanisms and evidence-based recommendations. J. Clin. Med. 8, 841 (2019).
Sibbick E., Boat R., Sarkar M., Groom M., Cooper S. B. Acute effects of physical activity on cognitive function in children and adolescents with attention-deficit/hyperactivity disorder: a systematic review and meta-analysis. Ment. Health Phys. Act. 23, 100469 (2022).
Li, D. et al. Effect of physical activity on attention in school-age children with ADHD: a systematic review and meta-analysis of randomized controlled trials. Front. Physiol. 14, 1189443 (2023).
Sibbick, E., Boat, R., Sarkar, M., Groom, M. & Cooper, S. B. Acute effects of physical activity on cognitive function in children and adolescents with attention-deficit/hyperactivity disorder: a systematic review and meta-analysis. Ment. Health Phys. Act. 23, 100469 (2022).
Seiffer, B., Hautzinger, M., Ulrich, R. & Wolf, S. The efficacy of physical activity for children with attention deficit hyperactivity disorder: a meta-analysis of randomized controlled trials. J. Atten. Disord. 26, 656–673 (2021).
Funding
This study was supported by the 2022 Basic Scientific Research Business Expenses Research Project of Heilongjiang Provincial Undergraduate Colleges and Universities (Project No. 145209160).
Author information
Authors and Affiliations
Contributions
Q. Pan drafted the manuscript and performed the primary data analysis. Pengwei He conceived and supervised the study and critically revised the manuscript. S. Zheng contributed to data collection and interpretation.
Corresponding author
Ethics declarations
Competing interests
The authors declare no competing interests.
Ethical approval and informed consent
All authors confirm that they are aware of and comply with ethical publication practices and consent to the submission of this manuscript.
Additional information
Publisher’s note Springer Nature remains neutral with regard to jurisdictional claims in published maps and institutional affiliations.
Supplementary information
Rights and permissions
Springer Nature or its licensor (e.g. a society or other partner) holds exclusive rights to this article under a publishing agreement with the author(s) or other rightsholder(s); author self-archiving of the accepted manuscript version of this article is solely governed by the terms of such publishing agreement and applicable law.
About this article
Cite this article
Pan, Q., Zheng, S. & He, P. Beyond binary comparisons: a Bayesian dose-response meta-analysis of exercise on executive function in children and adolescents with ADHD. Pediatr Res (2025). https://doi.org/10.1038/s41390-025-04325-1
Received:
Revised:
Accepted:
Published:
Version of record:
DOI: https://doi.org/10.1038/s41390-025-04325-1


