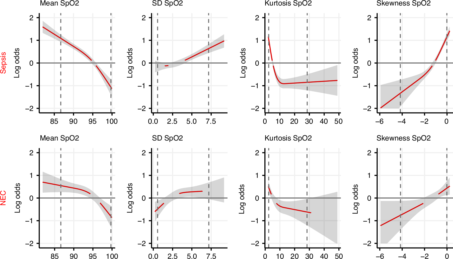
Fig. 2: Sepsis and NEC risk based on SpO2 features.

Depiction of associations of SpO2 features in each univariable logistic regression model for sepsis risk (top row) and NEC risk (bottom row). A description of the plot features is in Fig. 1 legend. The major finding is that the relationships between SpO2 features and the log odds of event risk were similar for LOS and NEC.