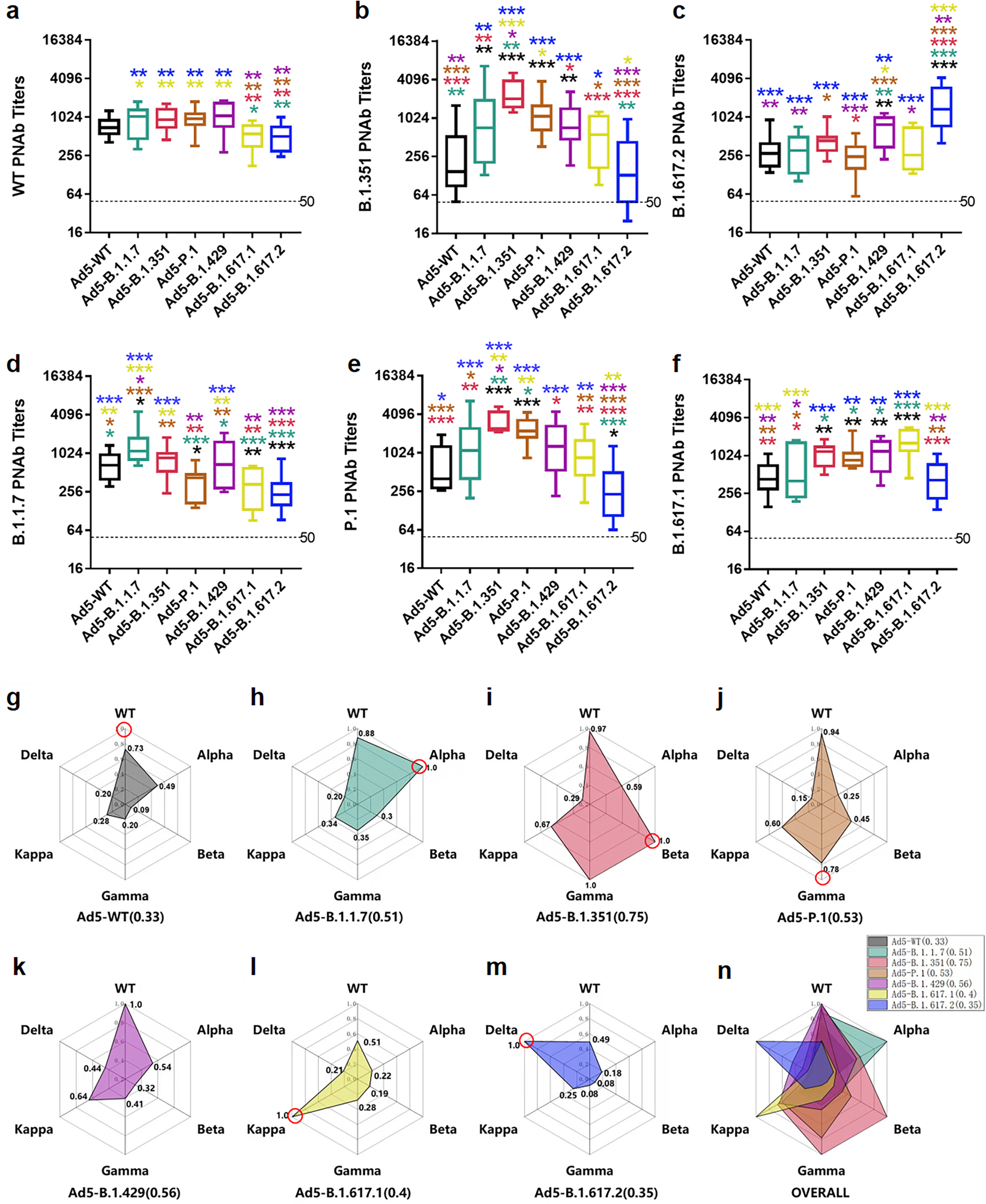
Fig. 3

Pseudovirus neutralizing antibodies induced by Ad5-vectored SARS-CoV-2 variant vaccines. Sera of mice were collected at 4 weeks post-immunization. The PNAb titers of the different variant vaccine groups were obtained using HIV backbone-derived pseudovirus bearing S proteins of the WT strain (a) and the B.1.351 (b), B.1.617.2 (c), B.1.1.7 (d), P.1 (e) and B.1.617.1 (f) variants. The statistical significance among the different groups was determined by one-way ANOVA with Tukey’s multiple comparisons tests. The PNAb GMTs to a certain type of pseudovirus were normalized by dividing by the highest value of PNAb GMT to the matched pseudovirus in all vaccine groups, and the broad-spectrum neutralization abilities of Ad5-WT (g), Ad5-B.1.1.7 (h), Ad5-B.1.351 (i), Ad5-P.1 (j), Ad5-B.1.429 (k), Ad5-B.1.617.1 (l), and B.1.617.2 (m) and the overall picture (n) are shown. The self-matched PNAbs are noted by red circles