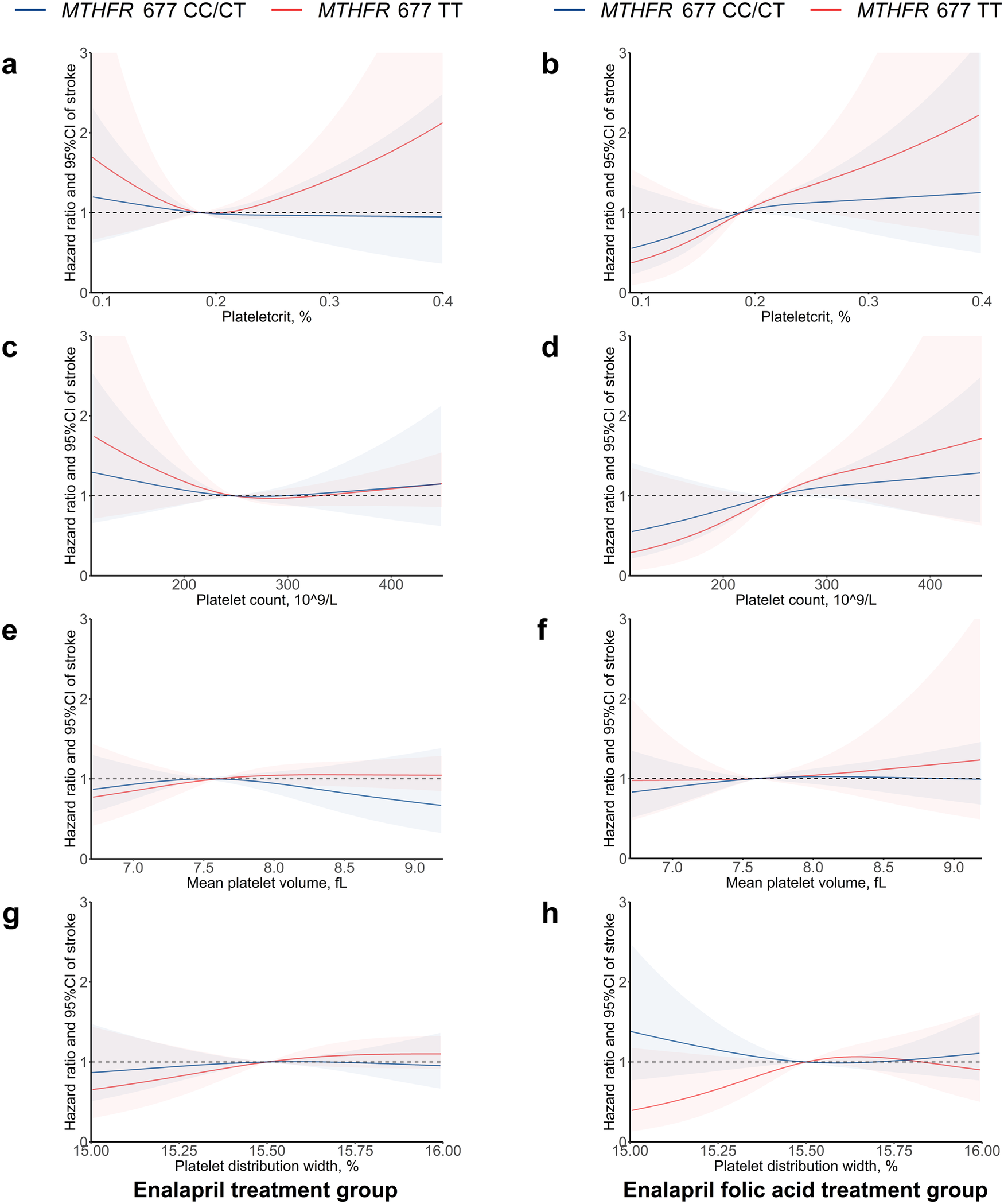
Fig. 1: Smoothing plots of platelet activation parameters and first stroke risk by MTHFR C677T genotypes among treatment groups.

Smoothing plots of platelet activation parameters and first stroke risk by MTHFR C677T genotypes among the enalapril group (a, c, e, g) and the enalapril-folic acid group (b, d, f, h). a, c, e, g Smoothing plots of plateletcrit, platelet count, mean platelet volume, platelet distribution width and first stroke risk stratified by the MTHFR C677T genotypes (CC/CT vs. TT) among the enalapril group. b, d, f, h Smoothing plots of plateletcrit, platelet count, mean platelet volume, platelet distribution width and first stroke risk stratified by the MTHFR C677T genotypes (CC/CT vs. TT) among the enalapril-folic acid group