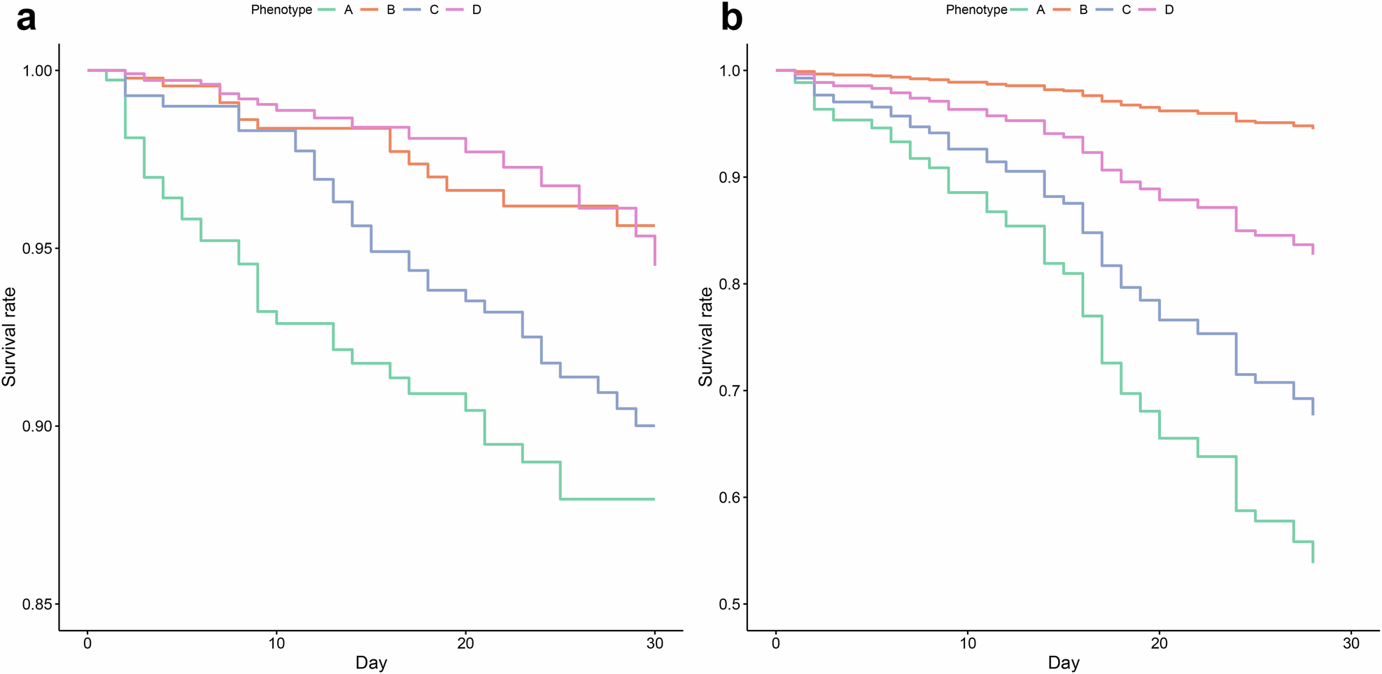
Fig. 3

The Kaplan–Meier of 30-day mortality for subphenotypes in development and validation cohorts. a represented the KM curve of 30-day mortality across AP subphenotypes in the development cohort, while (b) represented the KM curve of 30-day mortality across AP subphenotypes in the validation cohort; KM curves were adjusted by demographic characteristics (age, gender, and race)