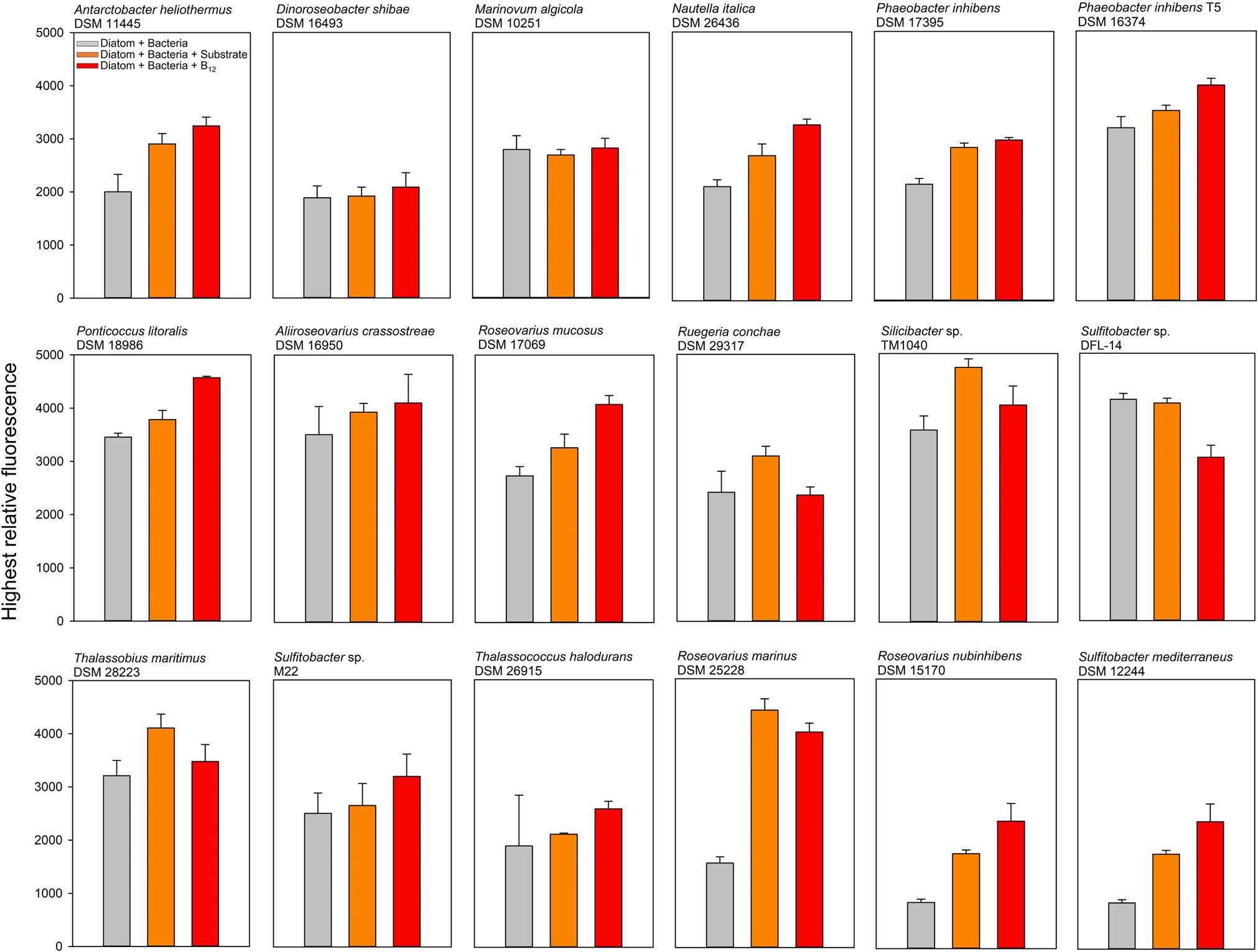
Fig. 3: Maximum growth of T. pseudonana in co-culture with B12-provider.
From: Vitamin B12 is not shared by all marine prototrophic bacteria with their environment

Bars represent the maximum relative fluorescence of T. pseudonana during growth in co-culture with 18 different B12-providers under different growth conditions (corresponding growth curves can be seen in the appendix). Grey bars represent maximum relative fluorescence of T. pseudonana in co-cultures without further additions, orange co-cultures with an additional substrate mix and red the co-cultures with B12 additions.