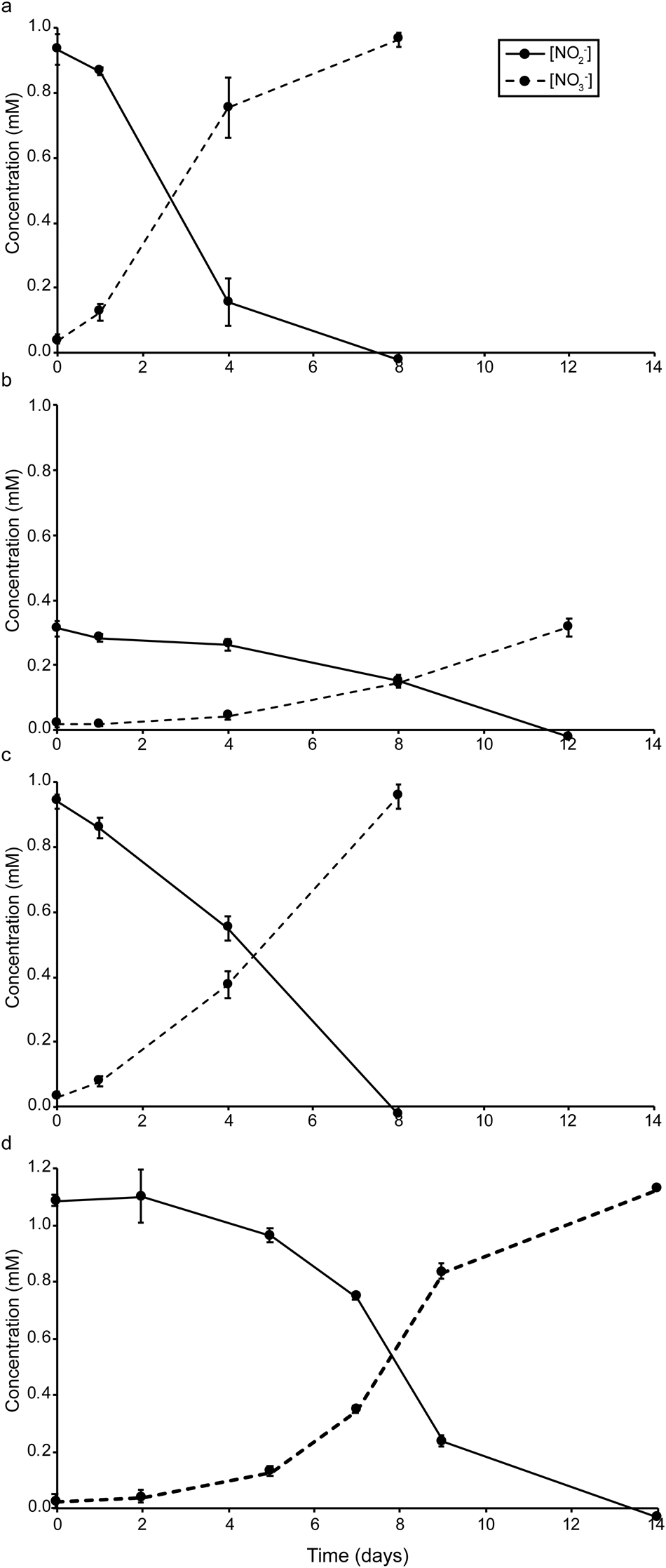
Fig. 1: Nitrite-oxidizing activity of the newly cultured Nitrospirales members.

Nitrite-oxidizing activity of a the Maine enrichment, b the Elba enrichment, c the Vancouver enrichment, and d the Denmark isolate during 8 to 14 days of incubation. The rates of nitrite consumption cannot be compared across cultures, because the total biomass and NOB densities differed. The full lines show nitrite and dashed lines nitrate concentrations. Values are means ± standard deviations (error bars) for biological quadruplicates.