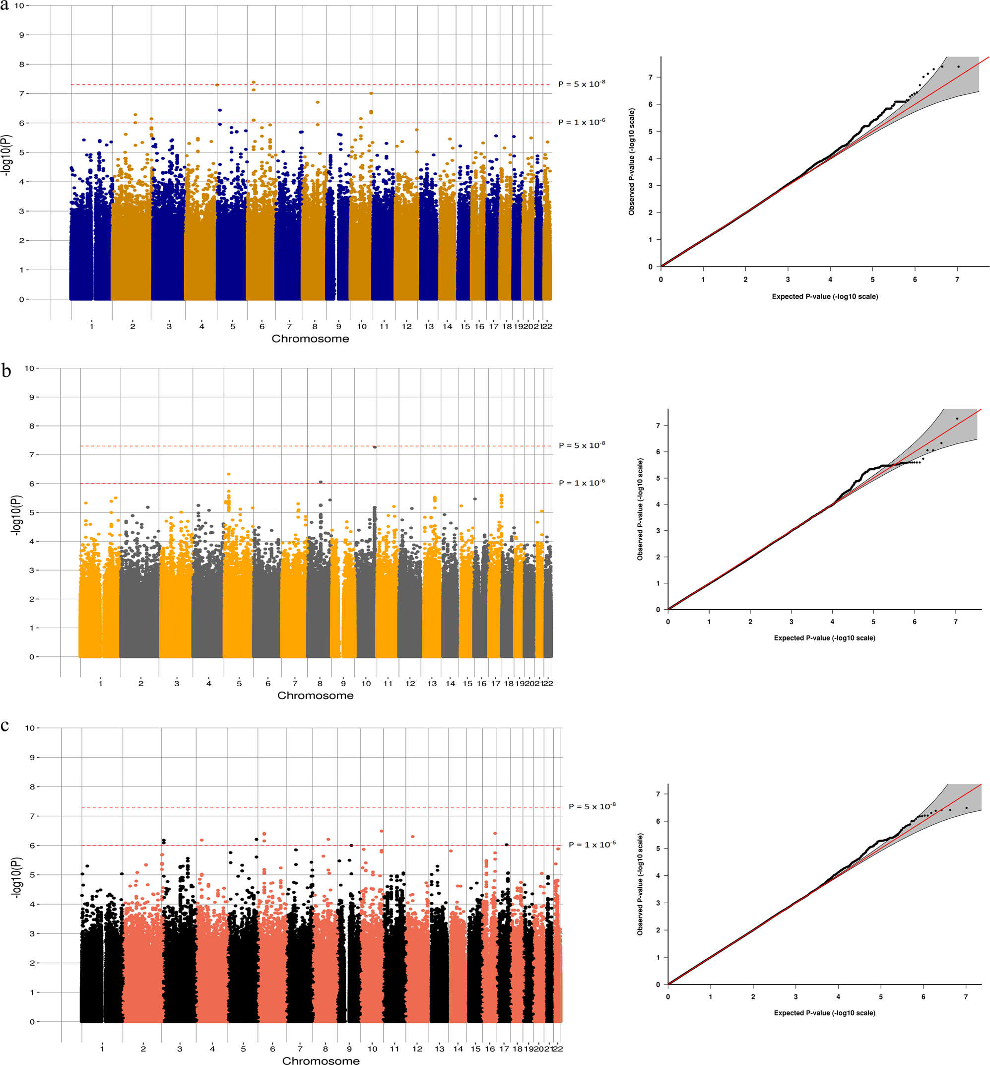
Fig. 1

Manhattan and Q-Q plots of the GWAS of antidepressant treatment resistance in (a) Generation Scotland: Scottish Family Health Study, (b) Genome-based Therapeutic Drugs for Depression and (c) the meta-analysis between the two cohorts. Genome-wide significance level (P < 5 × 10−8) is represented by a red line and suggestive threshold (P < 1 × 10-5) is represented by a blue line