Abstract
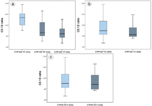
Clozapine (Clz) is an atypical antipsychotic, which its pharmacokinetics can be influenced by several factors. The CYP1A2 and CYP2C19, major enzymes implicated in Clz metabolism, present an interethnic variation on their activity caused by single nucleotide polymorphisms (SNPs). The present study investigated the influence of genetic and nongenetic factors on Clz pharmacokinetics in a southern Mediterranean population. We included adult Tunisian schizophrenic patients having received Clz and undergone a therapeutic drug monitoring (TDM) of Clz by morning C0 monitoring. The genomic DNA was extracted using a salting-out procedure. CYP1A2*1F (rs762551;−163C>A), CYP1A2*1C (rs2069514;−3860 G>A) and CYP 2C19*2 (rs4244285; 681G>A) was analyzed using PCR-RFLP. Fifty-one patients were enrolled in the study. The mutant allele (CYP1A2*1F) was the most frequently detected (58.8%). For CYP1A2*1F, Clz dose-normalized (C0/D ratio) was as high as 1.28 ± 0.37 in CC versus 0.67 ± 0.32 ng mL−1 per mg day−1 in AA group (p < 0.001). The influence of genetic (CYP1A2*1F, CYP1A2*1C and CYP2C19*2) and nongenetic parameters (age, weight, gender, tobacco, coffee, and alcohol consumption) on the variation of the Clz C0/D ratio was investigated. Only the CYP1A2*1 F polymorphism correlates significantly with the Clz C0/D variation and could explain 24% of its variability. Our data support a critical role of the CYP1A2 −163C>A on the variation of Clz exposure in Tunisian schizophrenic patients. Considering its narrow therapeutic range, CYP1A2 genotyping combined with TDM of Clz may improve efficacy and safety of this drug. Further studies are needed to investigate this issue.
This is a preview of subscription content, access via your institution
Access options
Subscribe to this journal
Receive 6 print issues and online access
$259.00 per year
only $43.17 per issue
Buy this article
- Purchase on SpringerLink
- Instant access to the full article PDF.
USD 39.95
Prices may be subject to local taxes which are calculated during checkout

Similar content being viewed by others
References
Lally J, Gaughran F, Timms P, Curran SR. Treatment-resistant schizophrenia: current insights on the pharmacogenomics of antipsychotics. Pharmacogenomics Pers Med. 2016;9:117–29.
Hiemke C, Bergemann N, Clement HW, Conca A, Deckert J, Domschke K, et al. Consensus guidelines for therapeutic drug monitoring in neuropsychopharmacology: update 2017. Pharmacopsychiatry. 2018;51:9–62.
Ismail Z, Wessels AM, Uchida H, Ng W, Mamo DC, Rajji TK, et al. Age and sex impact clozapine plasma concentrations in inpatients and outpatients with schizophrenia. Am J Geriatr Psychiatry. 2012;20:53–60.
Gee S, Dixon T, Docherty M, Shergill SS. Optimising plasma levels of clozapine during metabolic interactions: a review and case report with adjunct rifampicin treatment. BMC Psychiatry. 2015;15:195.
Olsson E, Edman G, Bertilsson L, Hukic DS, Lavebratt C, Eriksson SV, et al. Genetic and clinical factors affecting plasma clozapine concentration. Prim Care Companion CNS Disord. 2015;17.
Eiermann B, Engel G, Johansson I, Zanger UM, Bertilsson L. The involvement of CYP1A2 and CYP3A4 in the metabolism of clozapine. Br J Clin Pharm. 1997;44:439–46.
Ito M, Katono Y, Oda A, Hirasawa N, Hiratsuka M. Functional characterization of 20 allelic variants of CYP1A2. Drug Metab Pharmacokinet. 2015;30:247–52.
Thorn CF, Aklillu E, Klein TE, Altman RB. PharmGKB summary: very important pharmacogene information for CYP1A2. Pharmacogenet Genom. 2012;22:73–7.
Pouget JG, Shams TA, Tiwari AK, Müller DJ. Pharmacogenetics and outcome with antipsychotic drugs. Dialogues Clin Neurosci. 2014;16:555–66.
Melkersson KI, Scordo MG, Gunes A, Dahl M-L. Impact of CYP1A2 and CYP2D6 polymorphisms on drug metabolism and on insulin and lipid elevations and insulin resistance in clozapine-treated patients. J Clin Psychiatry. 2007;68:697–704.
Chaudhry AS, Prasad B, Shirasaka Y, Fohner A, Finkelstein D, Fan Y, et al. The CYP2C19 intron 2 branch point SNP is the ancestral polymorphism contributing to the poor metabolizer phenotype in livers with CYP2C19*35 and CYP2C19*2 alleles. Drug Metab Dispos Biol Fate Chem. 2015;43:1226–35.
Miller SA, Dykes DD, Polesky HF. A simple salting out procedure for extracting DNA from human nucleated cells. Nucleic Acids Res. 1988;16:1215.
B’chir F, Pavanello S, Knani J, Boughattas S, Arnaud MJ, Saguem S. CYP1A2 genetic polymorphisms and adenocarcinoma lung cancer risk in the Tunisian population. Life Sci. 2009;84:779–84.
Ren Y, Liu F, Shi X, Geng T, Yuan D, Wang L, et al. Investigation of the major cytochrome P450 1A2 genetic variant in a healthy Tibetan population in China. Mol Med Rep. 2017;16:573–80.
Wickliffe JK, Abdel-Rahman SZ, Lee C, Kormos-Hallberg C, Sood G, Rondelli CM, et al. CYP1A2*1F and GSTM1 alleles are associated with susceptibility to porphyria Cutanea Tarda. Mol Med. 2011;17:241–7.
Ayari I, Maurice AJ, Arij M, Sofia P, Saad S. Breast cancer association with CYP1A2 activity and gene polymorphisms-a preliminary case-control study in Tunisia. Asian Pac J Cancer Prev. 2015;16:3559–63.
Al-Ahmad MM, Amir N, Dhanasekaran S, John A, Abdulrazzaq YM, Ali BR, et al. Genetic polymorphisms of cytochrome P450-1A2 (CYP1A2) among Emiratis. PloS One. 2017;12:e0183424.
Kootstra-Ros JE, Smallegoor W, van der Weide J. The cytochrome P450 CYP1A2 genetic polymorphisms *1F and *1D do not affect clozapine clearance in a group of schizophrenic patients. Ann Clin Biochem. 2005;42(Pt 3):216–9.
Sachse C, Bhambra U, Smith G, Lightfoot TJ, Barrett JH, Scollay J, et al. Polymorphisms in the cytochrome P450 CYP1A2 gene (CYP1A2) in colorectal cancer patients and controls: allele frequencies, linkage disequilibrium and influence on caffeine metabolism. Br J Clin Pharm. 2003;55:68–76.
Abid L, Laroussi L, Bahloul A, Siala A, Abdelhédi R, Kharrat N, et al. Impact of cytochrome P450 2C19*2 polymorphism on the clinical cardiovascular events after stent implantation in patients receiving clopidogrel of a southern Tunisian region. World J Cardiovasc Dis. 2013;03:4.
Abdelhedi R, Bouayed NA, Alfadhli S, Abid L, Rebai A, Kharrat N. Characterization of drug-metabolizing enzymes CYP2C9, CYP2C19 polymorphisms in Tunisian, Kuwaiti and Bahraini populations. J Genet. 2015;94:765–70.
Chouchene S, Dabboubi R, Raddaoui H, Abroug H, Ben Hamda K, Hadj, Fredj S, et al. Clopidogrel utilization in patients with coronary artery disease and diabetes mellitus: should we determine CYP2C19*2 genotype? Eur J Clin Pharm. 2018;74:1567–74.
Dandara C, Lombard Z, Du Plooy I, McLellan T, Norris SA, Ramsay M. Genetic variants in CYP (-1A2, -2C9, -2C19, -3A4 and -3A5), VKORC1 and ABCB1 genes in a black South African population: a window into diversity. Pharmacogenomics. 2011;12:1663–70.
Kurose K, Sugiyama E, Saito Y. Population differences in major functional polymorphisms of pharmacokinetics/pharmacodynamics-related genes in Eastern Asians and Europeans: implications in the clinical trials for novel drug development. Drug Metab Pharmacokinet. 2012;27:9–54.
Ozdemir V, Kalow W, Okey AB, Lam MS, Albers LJ, Reist C, et al. Treatment-resistance to clozapine in association with ultrarapid CYP1A2 activity and the C->A polymorphism in intron 1 of the CYP1A2 gene: effect of grapefruit juice and low-dose fluvoxamine. J Clin Psychopharmacol. 2001;21:603–7.
Eap CB, Bender S, Jaquenoud Sirot E, Cucchia G, Jonzier-Perey M, Baumann P, et al. Nonresponse to clozapine and ultrarapid CYP1A2 activity: clinical data and analysis of CYP1A2 gene. J Clin Psychopharmacol. 2004;24:214–9.
Balibey H, Basoglu C, Lundgren S, Babaoglu MO, Yasar U, Herken H, et al. CYP1A2*1F polymorphism decreases clinical response to clozapine in patients with schizophrenia. Klin Psikofarmakol Bül-Bull Clin Psychopharmacol. 2011;21:93–9.
Vasudev K, Choi Y-H, Norman R, Kim RB, Schwarz UI. Genetic determinants of clozapine-induced metabolic side effects. Can J Psychiatry Rev Can Psychiatr. 2017;62:138–49.
Rajkumar AP, Poonkuzhali B, Kuruvilla A, Srivastava A, Jacob M, Jacob KS. Association between CYP1A2 gene single nucleotide polymorphisms and clinical responses to clozapine in patients with treatment-resistant schizophrenia. Acta Neuropsychiatr. 2013;25:2–11.
Lee S-T, Ryu S, Kim S-R, Kim M-J, Kim S, Kim J-W, et al. Association study of 27 annotated genes for clozapine pharmacogenetics: validation of preexisting studies and identification of a new candidate gene, ABCB1, for treatment response. J Clin Psychopharmacol. 2012;32:441–8.
Jaquenoud Sirot E, Knezevic B, Morena GP, Harenberg S, Oneda B, Crettol S, et al. ABCB1 and cytochrome P450 polymorphisms: clinical pharmacogenetics of clozapine. J Clin Psychopharmacol. 2009;29:319–26.
Aichhorn W, Whitworth AB, Weiss EM, Marksteiner J. Second-generation antipsychotics: is there evidence for sex differences in pharmacokinetic and adverse effect profiles? Drug Saf. 2006;29:587–98.
Mayerova M, Ustohal L, Jarkovsky J, Pivnicka J, Kasparek T, Ceskova E. Influence of dose, gender, and cigarette smoking on clozapine plasma concentrations. Neuropsychiatr Dis Treat. 2018;14:1535–43.
Tang Y, Mao P, Li F-M, Li W, Chen Q, Jiang F, et al. Gender, age, smoking behaviour and plasma clozapine concentrations in 193 Chinese inpatients with schizophrenia. Br J Clin Pharm. 2007;64:49–56.
Lane HY, Chang YC, Chang WH, Lin SK, Tseng YT, Jann MW. Effects of gender and age on plasma levels of clozapine and its metabolites: analyzed by critical statistics. J Clin Psychiatry. 1999;60:36–40.
Ulrich S, Baumann B, Wolf R, Lehmann D, Peters B, Bogerts B, et al. Therapeutic drug monitoring of clozapine and relapse-a retrospective study of routine clinical data. Int J Clin Pharm Ther. 2003;41:3–13.
Rostami-Hodjegan A, Amin AM, Spencer EP, Lennard MS, Tucker GT, Flanagan RJ. Influence of dose, cigarette smoking, age, sex, and metabolic activity on plasma clozapine concentrations: a predictive model and nomograms to aid clozapine dose adjustment and to assess compliance in individual patients. J Clin Psychopharmacol. 2004;24:70–8.
Ng W, Uchida H, Ismail Z, Mamo DC, Rajji TK, Remington G, et al. Clozapine exposure and the impact of smoking and gender: a population pharmacokinetic study. Ther Drug Monit. 2009;31:360–6.
Seppälä NH, Leinonen EV, Lehtonen ML, Kivistö KT. Clozapine serum concentrations are lower in smoking than in non-smoking schizophrenic patients. Pharm Toxicol. 1999;85:244–6.
Bowskill S, Couchman L, MacCabe JH, Flanagan RJ. Plasma clozapine and norclozapine in relation to prescribed dose and other factors in patients aged 65 years and over: data from a therapeutic drug monitoring service, 1996-2010. Hum Psychopharmacol. 2012;27:277–83.
Tsuda Y, Saruwatari J, Yasui-Furukori N. Meta-analysis: the effects of smoking on the disposition of two commonly used antipsychotic agents, olanzapine and clozapine. BMJ Open. 2014;4.
Haring C, Meise U, Humpel C, Saria A, Fleischhacker WW, Hinterhuber H. Dose-related plasma levels of clozapine: influence of smoking behaviour, sex and age. Psychopharmacology. 1989;99(Suppl):S38–40.
Lowe EJ, Ackman ML. Impact of tobacco smoking cessation on stable clozapine or olanzapine treatment. Ann Pharmacother. 2010;44:727–32.
Skogh E, Bengtsson F, Nordin C. Could discontinuing smoking be hazardous for patients administered clozapine medication? A case report. Ther Drug Monit. 1999;21:580–2.
Dratcu L, Grandison A, McKay G, Bamidele A, Vasudevan V. Clozapine-resistant psychosis, smoking, and caffeine: managing the neglected effects of substances that our patients consume every day. Am J Ther. 2007;14:314–8.
Raaska K, Raitasuo V, Laitila J, Neuvonen PJ. Effect of caffeine-containing versus decaffeinated coffee on serum clozapine concentrations in hospitalised patients. Basic Clin Pharm Toxicol. 2004;94:13–8.
Funding
The authors have no relevant affiliations or financial involvement with any organization or entity with a financial interest in or financial conflict with the subject matter or materials discussed in the manuscript. This includes employment, consultancies, honoraria, stock ownership or options, expert testimony, grants or patents received or pending, or royalties.
Author information
Authors and Affiliations
Contributions
HA, ZC, KA: conceptualization, methodology, software. HA, ZC, SK, AM, AC, HBR: resources, data curation. HA, ZC, AS, MA, IH, NBF: investigation. HA, ZC, NBF, NAB: validation. HA: writing—original draft preparation. KA, LG, LZ.: Supervision: HA, ZC, KA: writing—reviewing and editing. All authors contributed to the final manuscript and gave final approval of the version to be published.
Corresponding author
Ethics declarations
Conflict of interest
The authors declare no competing interests.
Ethics approval
All procedures performed in studies involving human participants were in accordance with the ethical standards of the responsible committee on human experimentation and with the 1964 Helsinki Declaration and its later amendments.
Additional information
Publisher’s note Springer Nature remains neutral with regard to jurisdictional claims in published maps and institutional affiliations.
Supplementary information
Rights and permissions
About this article
Cite this article
Ammar, H., Chadli, Z., Mhalla, A. et al. Clinical and genetic influencing factors on clozapine pharmacokinetics in Tunisian schizophrenic patients. Pharmacogenomics J 21, 551–558 (2021). https://doi.org/10.1038/s41397-021-00231-x
Received:
Revised:
Accepted:
Published:
Version of record:
Issue date:
DOI: https://doi.org/10.1038/s41397-021-00231-x


