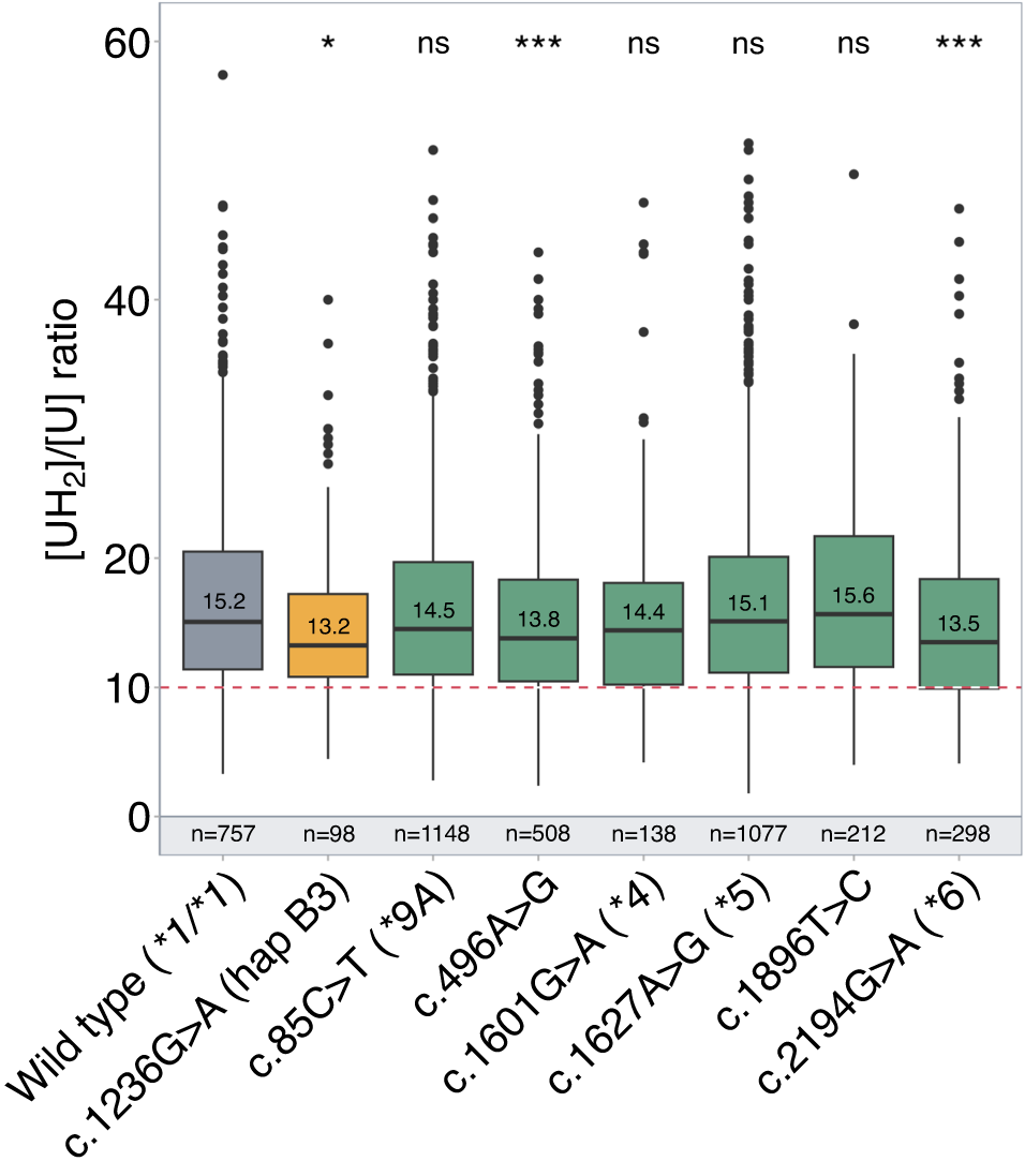
Fig. 2: Association between common DPYD genetic variants and DPD deficiency.

Box plot showing DPD pretreatment activity assessed by the dihydrouracil/uracil ([UH2]/[U]) plasma ratio according to the patient genotype. The hapB3 haplotype is represented in yellow whereas the other common variants are in green. The box represents the 25–75% quartiles, the line in the box represents the median, whiskers represent the range. The red dash line indicates the ratio threshold used to categorize patients as having partial DPD deficiency (ratio ≤10) or normal DPD activity (ratio >10). n = number of patients, ns = non-significant; *P < 0.05, **P < 0.01.