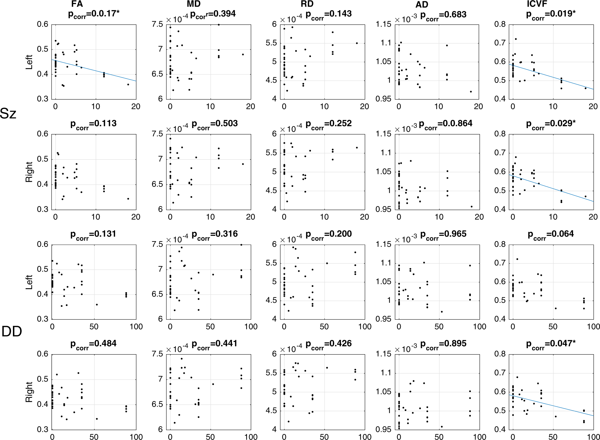
Fig. 3: Effects of penetrance on cingulum microstructure.

Scatterplots of various microstructural measures in the left (1st and 2nd row) and right (3rd an 4th row) cingulum bundles against penetrance (Sz on 1st and 3rd row, DD on 2nd and 4th rows). Linear regression fit lines are shown where effects are found to be significant or close-to-significant