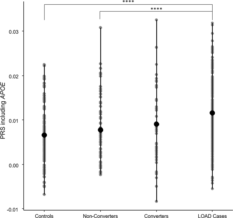
Fig. 1: Distribution of polygenic risk score (PRS), including APOE SNPs (N = 167) amongst late-onset Alzheimer’s disease (LOAD) cases, converters and non-converters from mild-cognitive impairment (MCI), and controls.
From: Alzheimer’s disease polygenic risk score as a predictor of conversion from mild-cognitive impairment

The range of scores for individuals within each group are described in the figure (grey circles) with the average PRS for each group indicated by the black circle. Significant differences were observed with one-way ANOVA across all four groups (p < 0.0001), with post hoc Tukey indicating significance between pairwise comparisons indicated with ****(p < 0.0001)