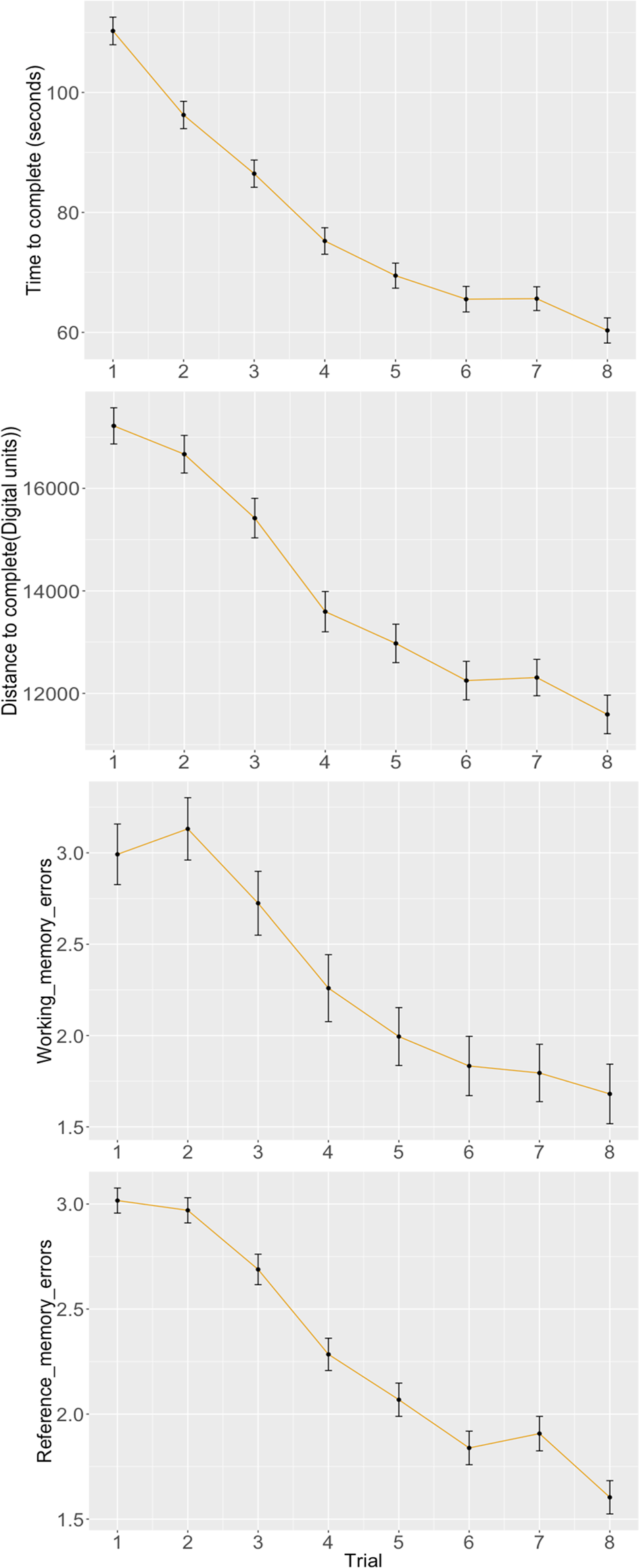
Fig. 1: VRAM performance across eight trials.

All VRAM outcomes were significantly associated with the trial number, with each consecutive trial lowering the time to complete the task by 6.7 s/trial (95% CI −7.4, −6.4), the distance to complete the task by 844 digital units/trial (95% CI −960, −728), the number of working memory errors by 0.17 errors/trial (95% CI −0.19, −0.14), and the number of reference memory errors by 0.14 errors/trial (95% CI −0.15, −0.12). Dots represent mean performance at each trial and error bars represent standard errors.