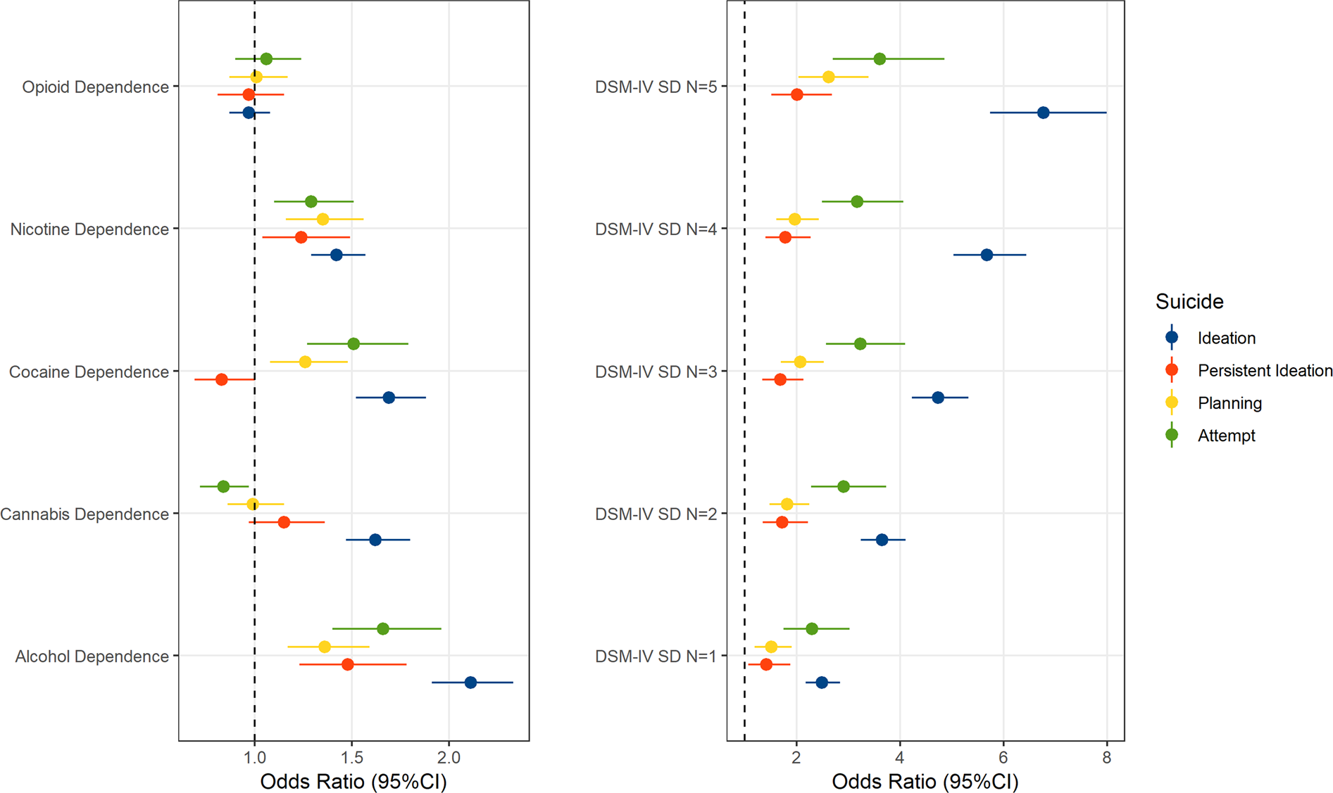
Fig. 1: Substance dependence (SD) and suicidality in Yale-Penn participants.

Association of DSM-IV SD diagnoses (left panel) or polysubstance dependence severity (i.e., number of comorbid DSM-IV SD diagnosis; right panel) with suicidal ideation, persistent ideation, planning, and attempt.