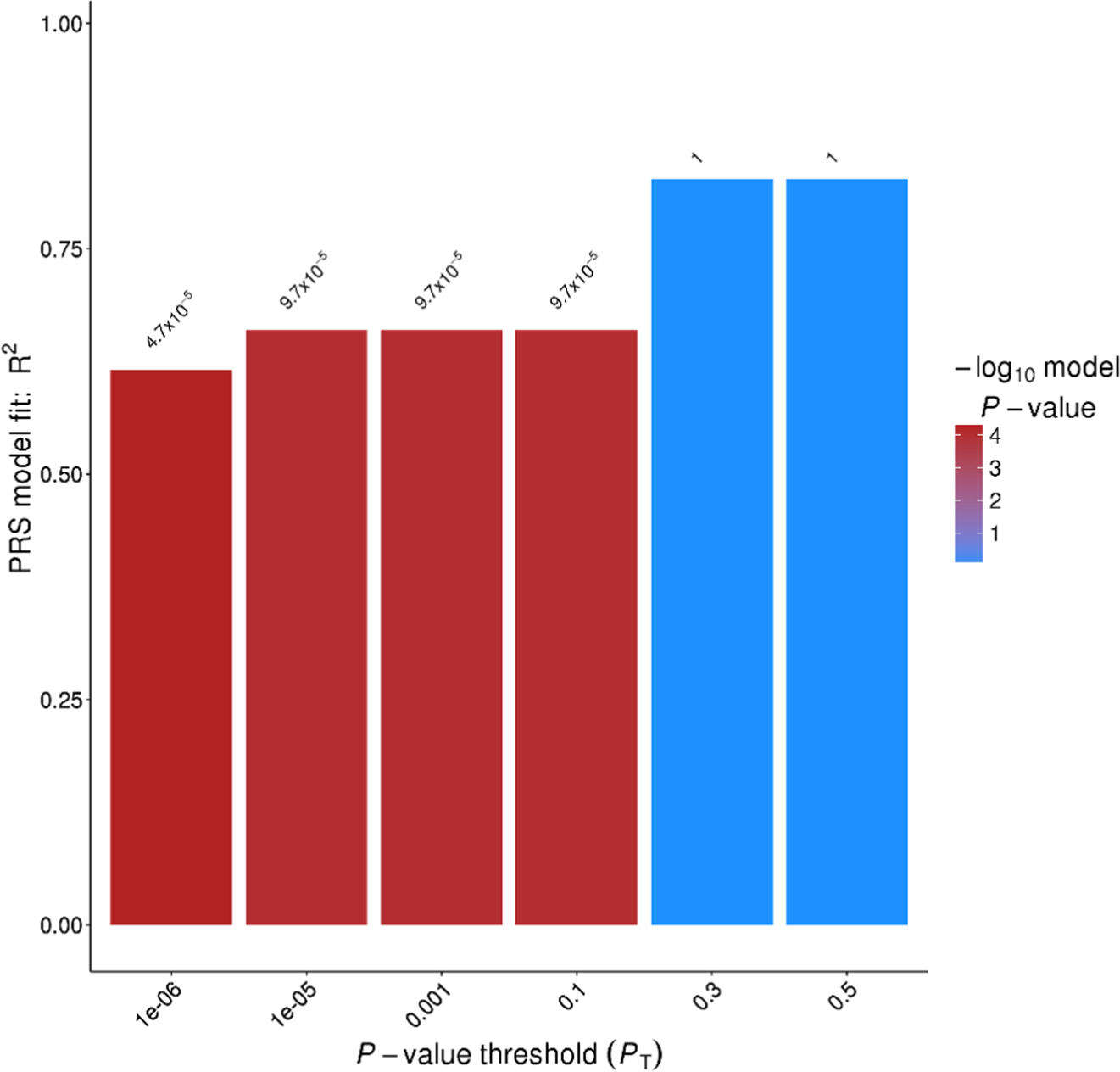
Fig. 3: Polygenic risk score analysis using GWAS genetic variants.
From: Genetic associations with clozapine-induced myocarditis in patients with schizophrenia

Risk scores of pruned SNPs at each predetermined significance threshold were calculated using aggregated sum of weighted risk allele effect sizes. The proportion of variance (R2) explained by the aggregate risk score is shown on the y-axis.