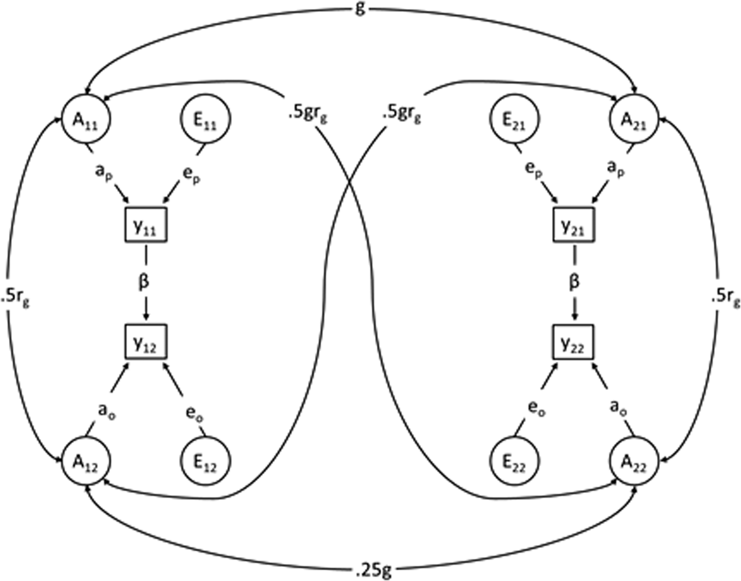
Fig. 1: A simplified path diagram for the structural equation model.
From: The intergenerational transmission of suicidal behavior: an offspring of siblings study

Note: Represents one example family with each parent having one offspring; the full model includes up to two offspring per parent. The inclusion of both offspring of half-sibling and full-sibling parents allowed us to decompose the variance of genetic (A) and environmental (E) factors. Contribution of shared environment (C) are also estimated, but left out of the figure. Y11 and Y21 represent two siblings in the parent generation. Y12 and Y22 represent two cousins in the offspring generation; A11 and A21 represent the parental additive genetic sources of variance, and g represents the genetic similarity between the two (i.e., 0.50 for full-siblings and 0.25 for maternal half-siblings); E11 and E21 represent the unique environmental contribution to the variance in the parental phenotype. A12 and A22 represent the offspring additive genetic sources of variance, and 0.25g represents the genetic similarity between the two; E12 and E22 represent the unique environmental contribution to the variance in offspring phenotype; rg is the genetic correlation between the parental and offspring phenotype, thus 0.50rg is the correlation between the parental and offspring phenotype due to shared genetics; similarly, 0.50grg is the correlation between uncle/aunt and niece/nephew due to shared genetics. Parental and offspring may have different proportion of variance explained by A and E, as seen by having different path coefficients (e.g., ap and ao). Finally, the direct, phenotypic intergenerational association is modeled by β, where the variance in parental phenotype, regardless of source, may directly influence the variance in offspring phenotype. A description of the model can be found in Supplementary Appendix 1 and in Kuja-Halkola et al.32.