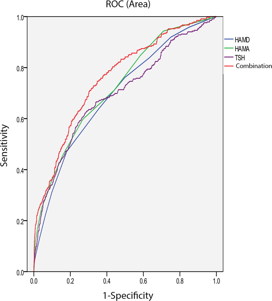
Fig. 1: The discriminatory capacity of related factors for distinguishing between patients with and without suicide attempts in MDD comorbid with anxiety symptoms.

The area under the curve of HAMD score, HAMA score, TSH, and the combination of these three factors were 0.70, 0.73, 0.70, and 0.76, respectively.