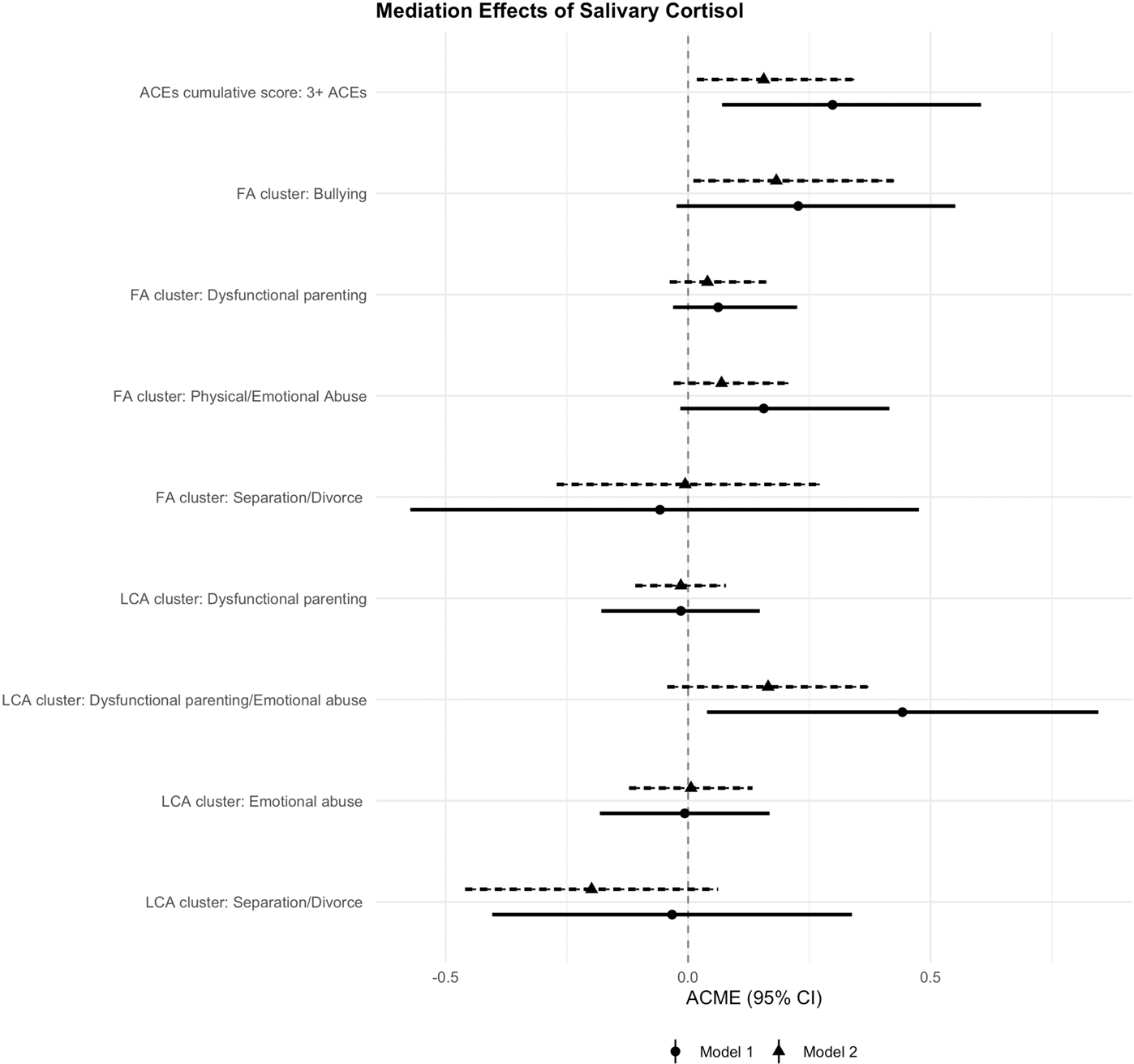
Fig. 5: Mediation effects of average daytime cortisol levels in the associations of ACEs with depressive symptoms (whole sample).

Note. Model 1 = adjusted for sex, age and family SES, Model 2—Model 1 + latent genetic risk scores for cortisol and depressive symptoms. ACME average causal mediation effect, CI confidence interval, ACEs adverse childhood experiences, SES socioeconomic status. A significant mediation effect of cortisol in the association between ACEs and depressive symptoms is present when the CI of the ACME does not cross zero.