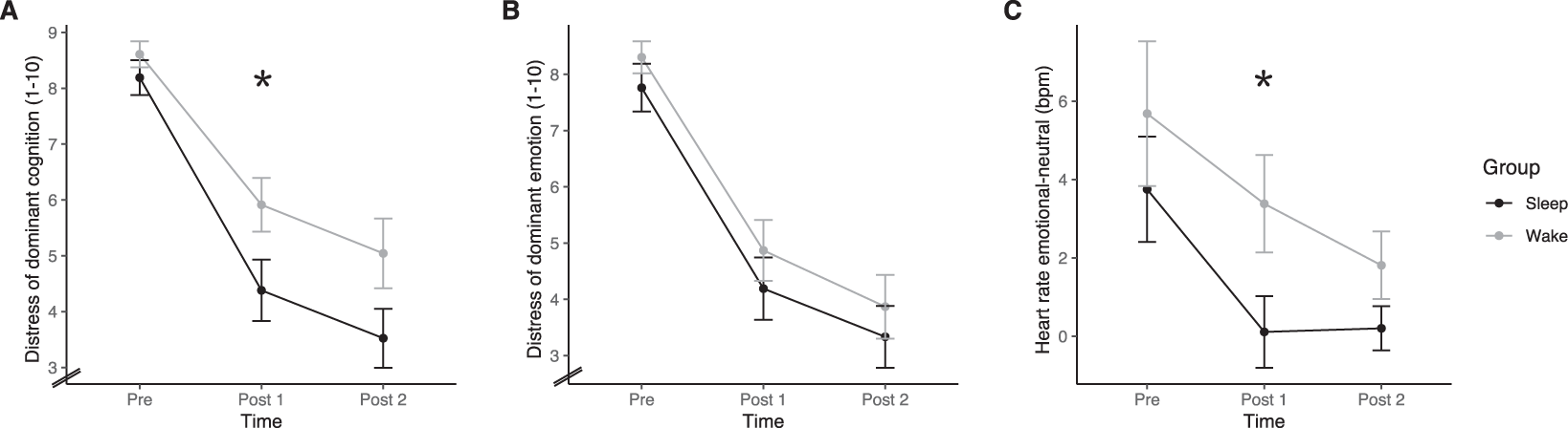
Fig. 3: Emotional response to the aversive memories.
From: Sleep’s role in updating aversive autobiographical memories

Distress of dominant cognition (A), distress of dominant emotion (B), HR response in bpm (emotional–neutral) (C) for the sleep (black lines) and wake group (grey lines) across the three timepoints (pre, post 1, post 2). Heart rate response was computed by subtracting mean HR during imagery of the neutral memory script from mean HR during imagery of the aversive memory script; the degree of induced distress ranged from 1 = not at all to 10 = extremely strong. *p < 0.05.