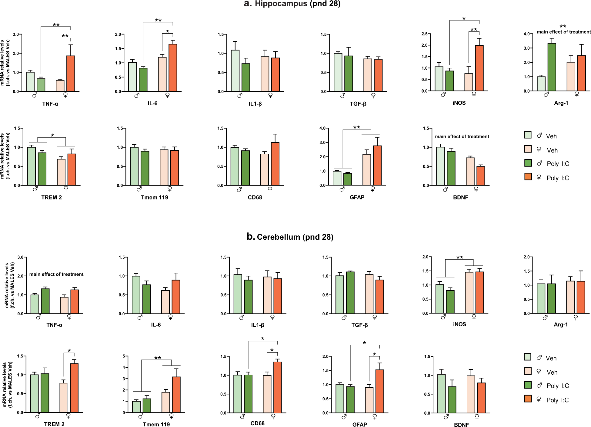
Fig. 2: MIA effect on neuroinflammatory profile of offspring at pnd 28.

mRNA levels in hippocampus (a) and cerebellum (b) were evaluated by RT-PCR using the 2−ΔΔCt method, normalized to the housekeeping gene β-actin, and relative to Veh males (n = 6 M/6 F per group). Data are expressed as means ± S.E.M. Two-way ANOVA with post-hoc Tukey’s test, *p < 0.05; **p < 0.01.