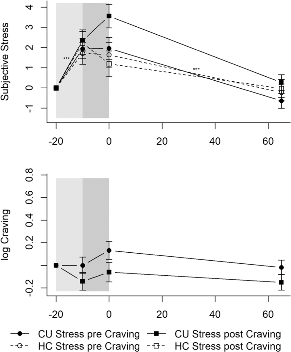
Fig. 3: Mean levels and standard errors of the mean for subjective stress and craving during the TSST.
From: Cue-induced cocaine craving enhances psychosocial stress and vice versa in chronic cocaine users

Gray shaded areas indicate the TSST. Values were normalized by subtracting the levels measured at T1 (−20 min) from all other values to facilitate interpretation of the stress and craving reaction independently of effects of the circadian rhythm or baseline differences (T0). Cocaine users and healthy controls showed similar and significant increases in subjective stress, whereas the TSST did not induce craving in cocaine users. CU Cocaine users, HC Healthy controls. CU Stress pre Craving: ***p < 0.001. CU Stress pre Craving n = 25; CU Stress post Craving n = 22; HC Stress pre Craving n = 20; HC Stress post Craving n = 18.