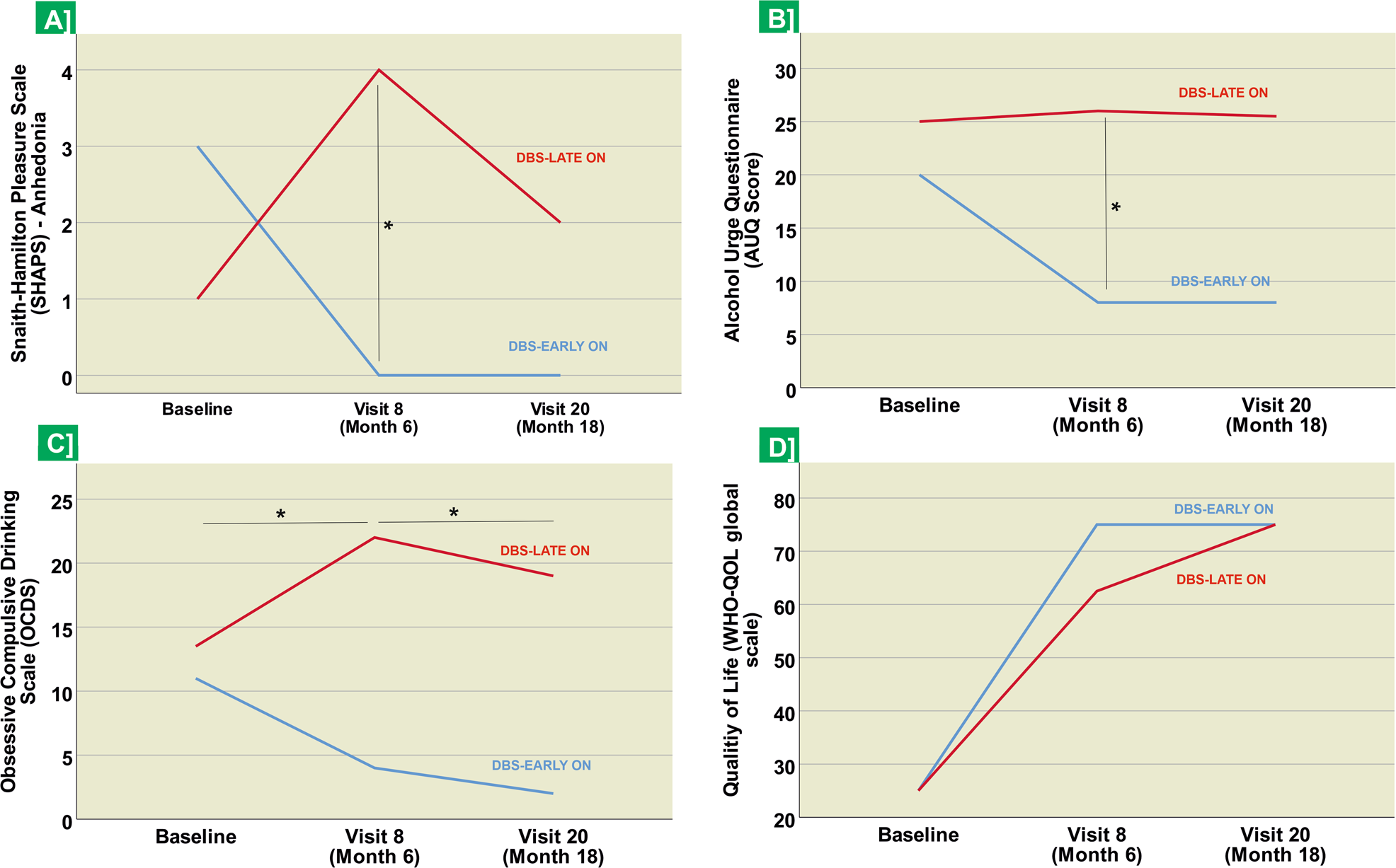
Fig. 5: Effects of NAc DBS on anhedonia, alcohol craving and quality of life.

Depiction of median values and of significant longitudinal changes and group differences in A anhedonia (SHAPS), B, C alcohol craving (OCDS and AUQ), and D quality of life (WHOQOL-BREF) at baseline, at the 6-month visit (i.e., end of blinded phase), and at 18 months (after all patients had been actively stimulated for at least 12 months). *Significant differences between time points or study groups, as indicated, at p < 0.05, determined using Wilcoxon tests and Mann–Whitney U tests.