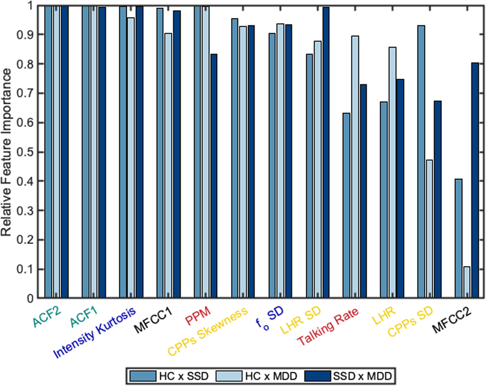
Fig. 1: Comparison of the top 25% of features ranked by aggregate feature importance across all pairwise models with the 3-degree SVM polynomial kernel.

Feature importance was computed as the post hoc permutation feature importance. For each model, there were twenty participants per group (HC healthy controls, SSD schizophrenia spectrum disorder, MDD major depressive disorder) and four speech samples per participant.