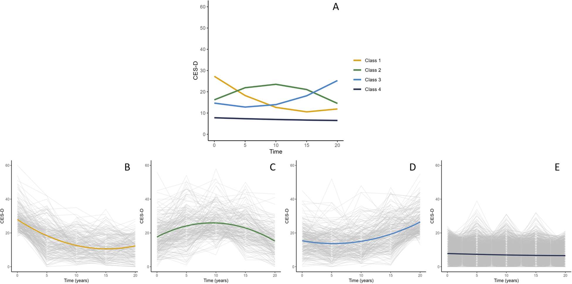
Fig. 1: Trajectories of depressive symptoms across 20 years in full sample (n = 3944).
From: Trajectories in depressive symptoms and midlife brain health

A All trajectories: B Class 1-Declining (n = 286, 7.3%); C Class 2- Steady high (n = 264, 6.7%); D Class 3- Increasing (n = 277, 7%); E Class 4-Steady low (n = 3117, 79%). CES-D=Center for Epidemiologic Studies Depression Scale.