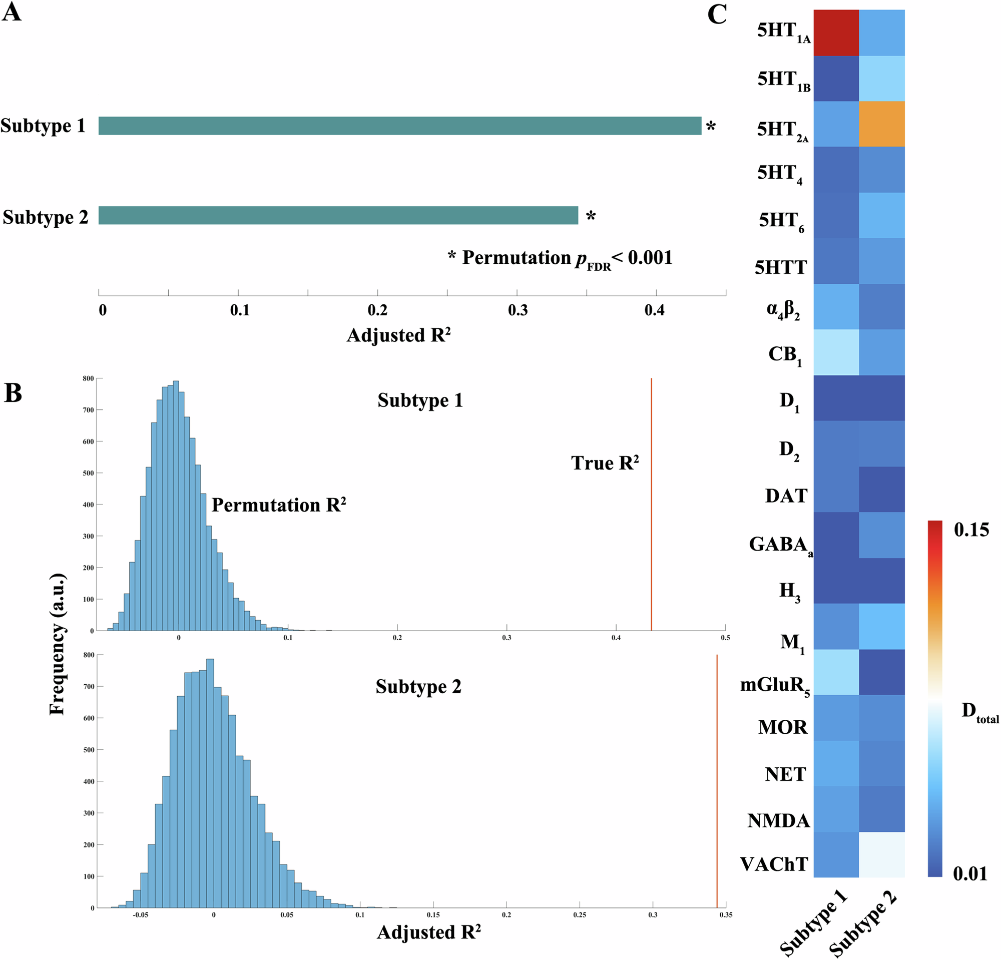
Fig. 4: Association between gray matter morphological abnormalities of the identified subtypes and distribution of neurotransmitter receptors/transporters.

A Multilinear models are constructed to analyze the association between neurotransmitter receptors/transporters and gray matter morphological abnormalities of the identified subtypes. The bar plot displays the corresponding model goodness-of-fit (adjusted R2), with all FDR-corrected permutation p-values being less than 0.001. B Permutation testing results. C Dominance analysis is employed to determine the relative importance of predictors for each multilinear model. Total dominance values, indicative of the predictors’ relative importance, are depicted.