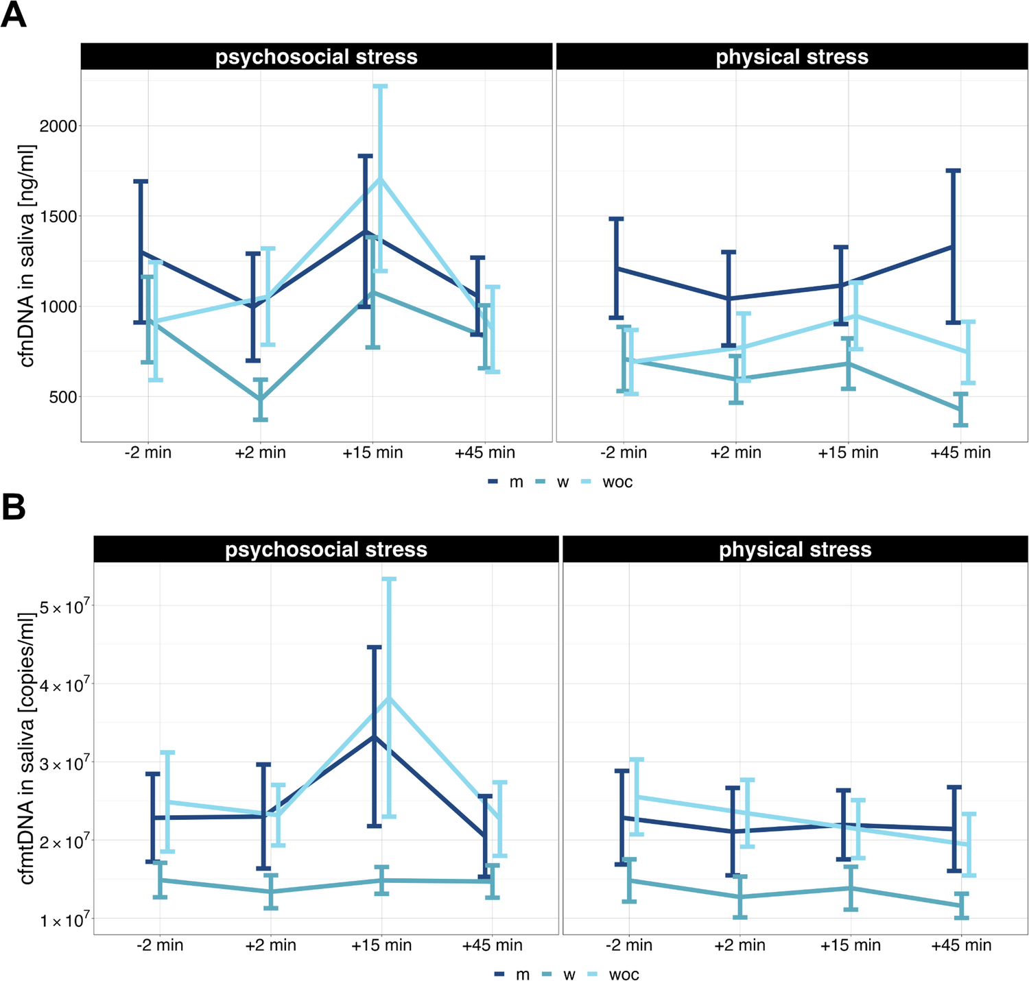
Fig. 3: Levels of cf-nDNA and cf-mtDNA in saliva.
From: Cell-free DNA release following psychosocial and physical stress in women and men

A Salivary cf-nDNA concentrations before and after the induction of acute psychosocial and physical stress for the three groups (m = men, w = women, woc = women on hormonal contraception). B Salivary cf-mtDNA concentrations before and after the onset of acute psychosocial and physical stress for the three groups (m, w, woc). Salivary cf-nDNA is presented in ng/ml over time, while cf-mtDNA is presented in copies/ml. Since the weight of a haploid human genome is estimated to be approximately 3.23 pg, a concentration of 1 ng cf-nDNA/ml corresponds to roughly 310 genomic copies/ml. Error bars represent the standard error of the mean. rmANOVAs for salivary cf-nDNA and cf-mtDNA revealed a main effect for changes over time in cf-nDNA concentration, but no significant effects for cf-mtDNA.