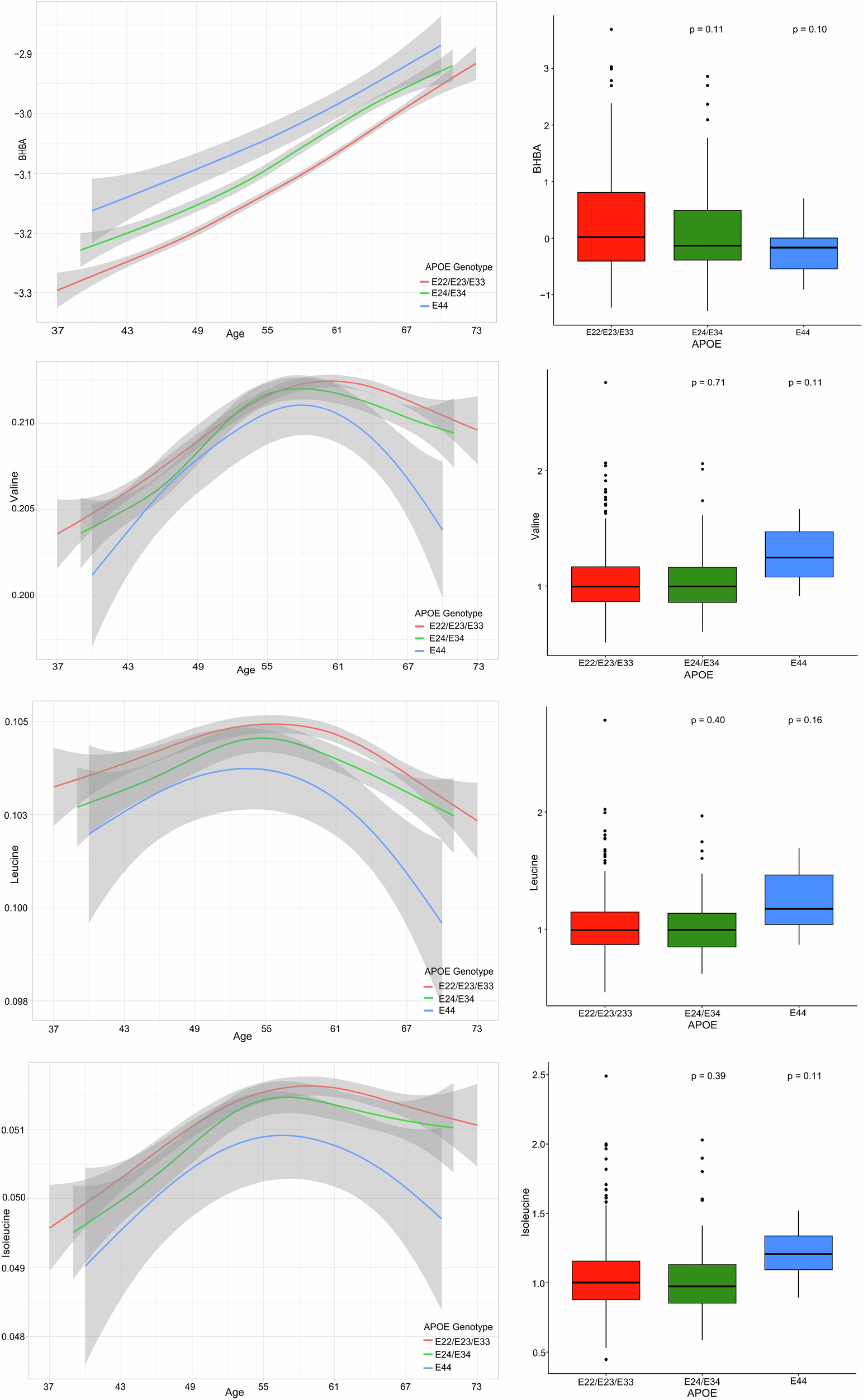
Fig. 2: Levels of β-Hydroxybutyrate (BHBA) and branch chain amino acids (BCAAs) across APOE genotypes in plasma and brain.
From: Interplay between age, APOE Ɛ4 and the metabolome in plasma and brain in Alzheimer’s disease

Blood (UKBB) and brain (ROSMAP) levels of identified metabolites by APOE genotype levels. Left panels show the levels of BHBA and BCAAs over age by APOE genotypes in blood in the UK Biobank. Right panels show the distribution of BHBA and BCAAs by APOE genotypes in the brain in the ROSMAP cohort.