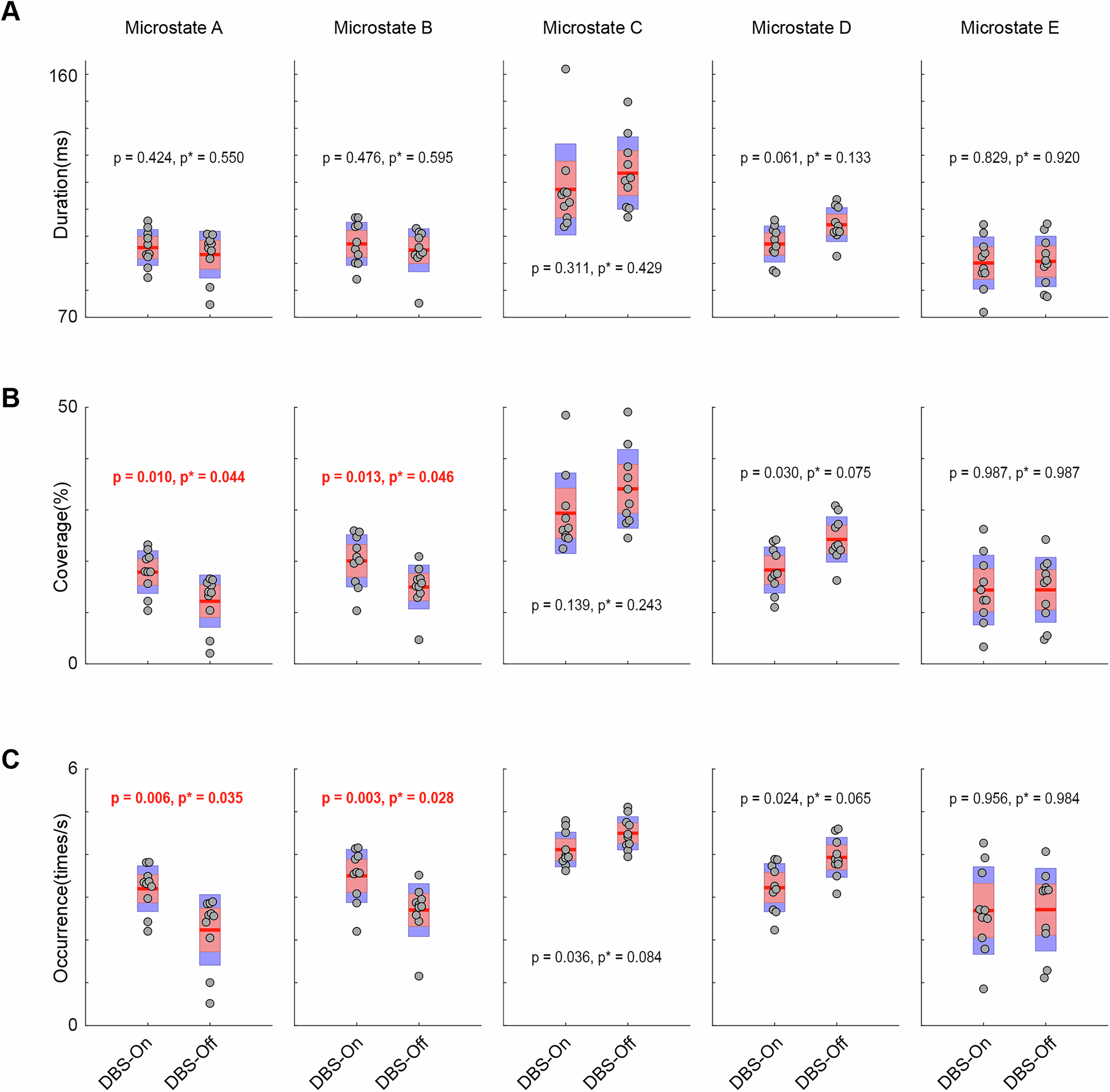
Fig. 3: BNST-NAc Deep Brain Stimulation Modulated Microstate Occurrence and Coverage.

Comparison of the mean duration (A), coverage (B), and occurrence (C) of each microstate between the DBS-On and DBS-Off phases. Compared with the DBS-Off condition, TRD patients in the DBS-On state showed significantly increased average coverage (B) and occurrence (C) of microstates A and B. In all panels, the red line indicates the mean, the red bar shows the standard error of the mean, the blue bar shows the standard deviation. Uncorrected p-values and the corrected p*-values are shown. Red values indicate statistically significant results (pFDR < 0.05). Statistical details (paired t-test, n = 10, DBS-On versus DBS-Off, mean ± SD): Microstate A: duration, DBS-On: 95.83 ± 6.65, DBS-Off: 93.21 ± 8.63, p = 0.424, pFDR = 0.550; coverage, DBS-On: 17.89 ± 4.16%, DBS-Off: 12.21 ± 5.09%, p = 0.010, pFDR = 0.044, d = 1.02; occurrence, DBS-On: 3.20 ± 0.53, DBS-Off: 2.23 ± 0.82, p = 0.006, pFDR = 0.035, d = 1.12. Microstate B: duration, DBS-On: 97.17 ± 7.97, DBS-Off: 94.84 ± 7.94, p = 0.476, pFDR = 0.595; coverage, DBS-On: 20.08 ± 5.09%, DBS-Off: 14.98 ± 4.27%, p = 0.013, pFDR = 0.046, d = 0.98; occurrence, DBS-On: 3.50 ± 0.62, DBS-Off: 2.70 ± 0.62, p = 0.003, pFDR = 0.028, d = 1.27. Microstate C: duration, DBS-On: 117.33 ± 16.86, DBS-Off: 123.41 ± 13.39, p = 0.311, pFDR = 0.429; coverage, DBS-On: 29.36 ± 7.85%, DBS-Off: 34.12 ± 7.66%, p = 0.139, pFDR = 0.243; occurrence, DBS-On: 4.12 ± 0.40, DBS-Off: 4.50 ± 0.39, p = 0.036, pFDR = 0.084. Microstate D: duration, DBS-On: 97.13 ± 6.65, DBS-Off: 104.31 ± 6.27, p = 0.061, pFDR = 0.133; coverage, DBS-On: 18.29 ± 4.49%, DBS-Off: 24.26 ± 4.42%, p = 0.030, pFDR = 0.075; occurrence, DBS-On: 3.23 ± 0.56, DBS-Off: 3.93 ± 0.46, p = 0.024, pFDR = 0.065. Microstate E: duration, DBS-On: 90.11 ± 9.65, DBS-Off: 90.68 ± 9.32, p = 0.829, pFDR = 0.920; coverage, DBS-On: 14.39 ± 6.79, DBS-Off: 14.43 ± 6.32, p = 0.987, pFDR = 0.987; occurrence, DBS-On: 2.69 ± 1.02, DBS-Off: 2.71 ± 0.97, p = 0.956, pFDR = 0.984.