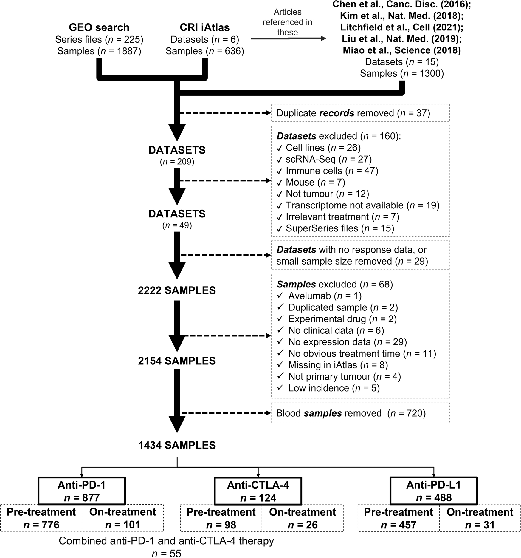
Fig. 1: Screening datasets.
From: Predictive biomarkers of immunotherapy response with pharmacological applications in solid tumors

Setup of the integrated database
From: Predictive biomarkers of immunotherapy response with pharmacological applications in solid tumors

Setup of the integrated database