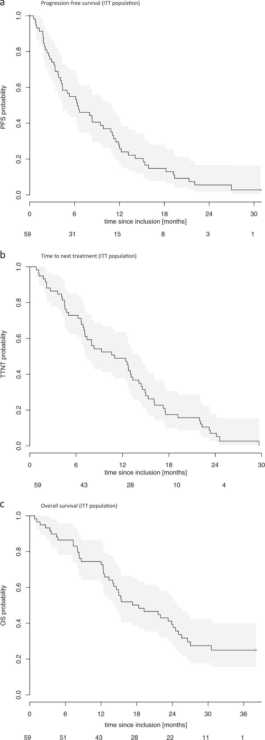
Fig. 1: Kaplan Maier estimates for progression-free survival (PFS), time to next treatment (TTNT) and overallsurvival (OS) of the intent to treat (ITT) population.

a Progression-free survival (ITT population). b Time to next treatment (ITT population). c Overall survival (ITT population). ITT, intent to treat