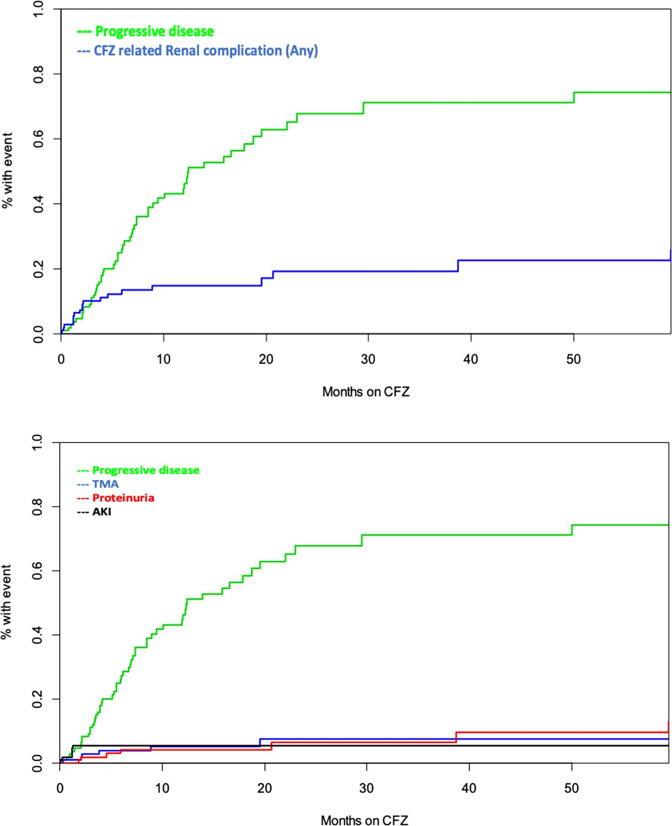
Fig. 1: Renal complications and Carfilzomib treatment.

Upper panel: Percentage of patients with progressive disease and any carfilzomib-related complications plotted over time of months on Carfilzomib (CFZ) treatment. Lower panel: Renal complications observed in MM patients. TMA thrombotic microangiopathy, AKI acute kidney injury.