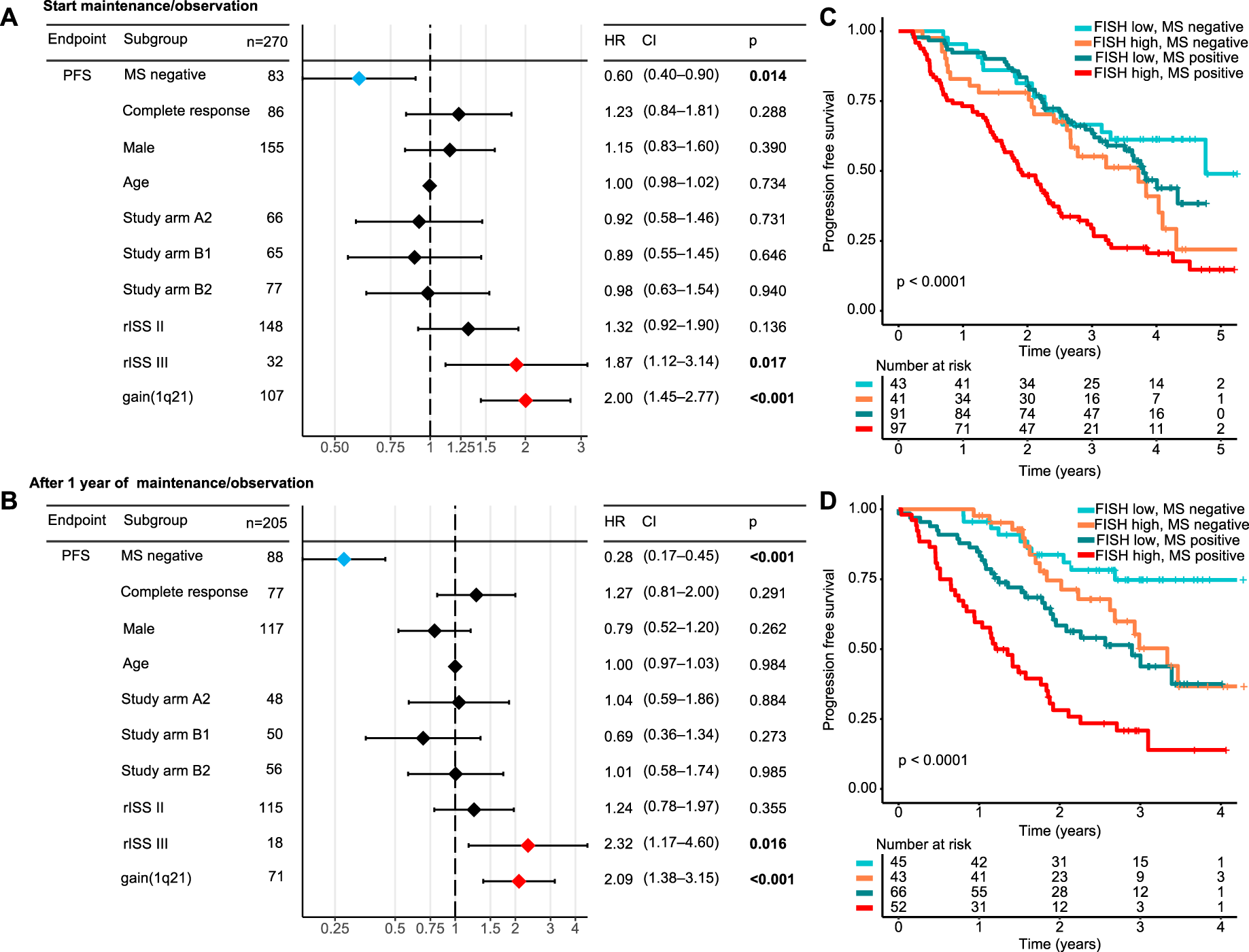
Fig. 3: Independent prognostic impact of mass spectrometry and its combination with established high-risk markers.

Results of a multivariable model for PFS from the start of maintenance therapy/observation (A), and after one year (±3 months) of maintenance/observation (B). PFS from start of maintenance therapy (C) and after one year of maintenance/observation (D) stratified by the combination of mass spectrometry (MS) and baseline high-risk cytogenetics. High-risk cytogenetics were defined by the presence of t(4;14), t(14;16), del(17p) and/or gain(1q21). Study arms: A1 = PAd induction therapy and lenalidomide maintenance independent on response status; A2 = VCd induction therapy and lenalidomide maintenance independent on response status; B1 = PAd induction therapy and lenalidomide maintenance if less than complete response or observation in case of complete response; B2 = VCd induction therapy and lenalidomide maintenance if less than complete response or observation in case of complete response. FISH flourescence in situ hybridization, MS mass spectrometry, rISS revised International Staging System.