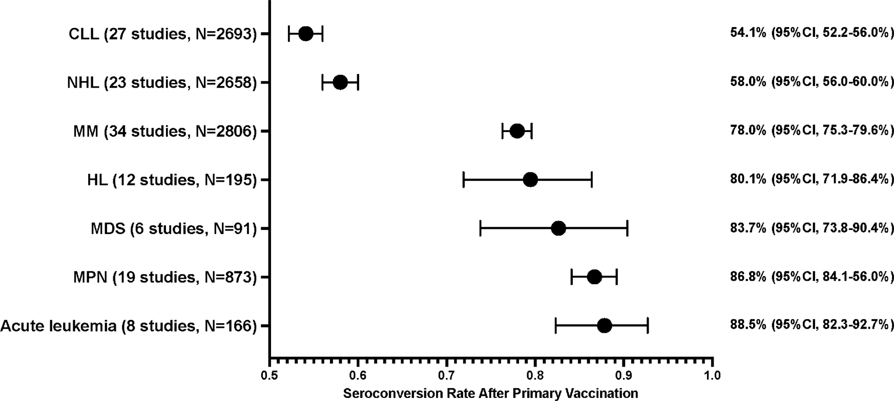
Fig. 2: Pooled seroconversion rates following complete primary SARS-CoV-2 vaccination in each disease subtype of hematologic malignancies.

CLL chronic lymphocytic leukemia, HL Hodgkin lymphoma, Leukemia acute leukemia, MDS myelodysplastic syndrome, MM multiple myeloma, MPN myeloproliferative neoplasms, NHL non-Hodgkin lymphoma.