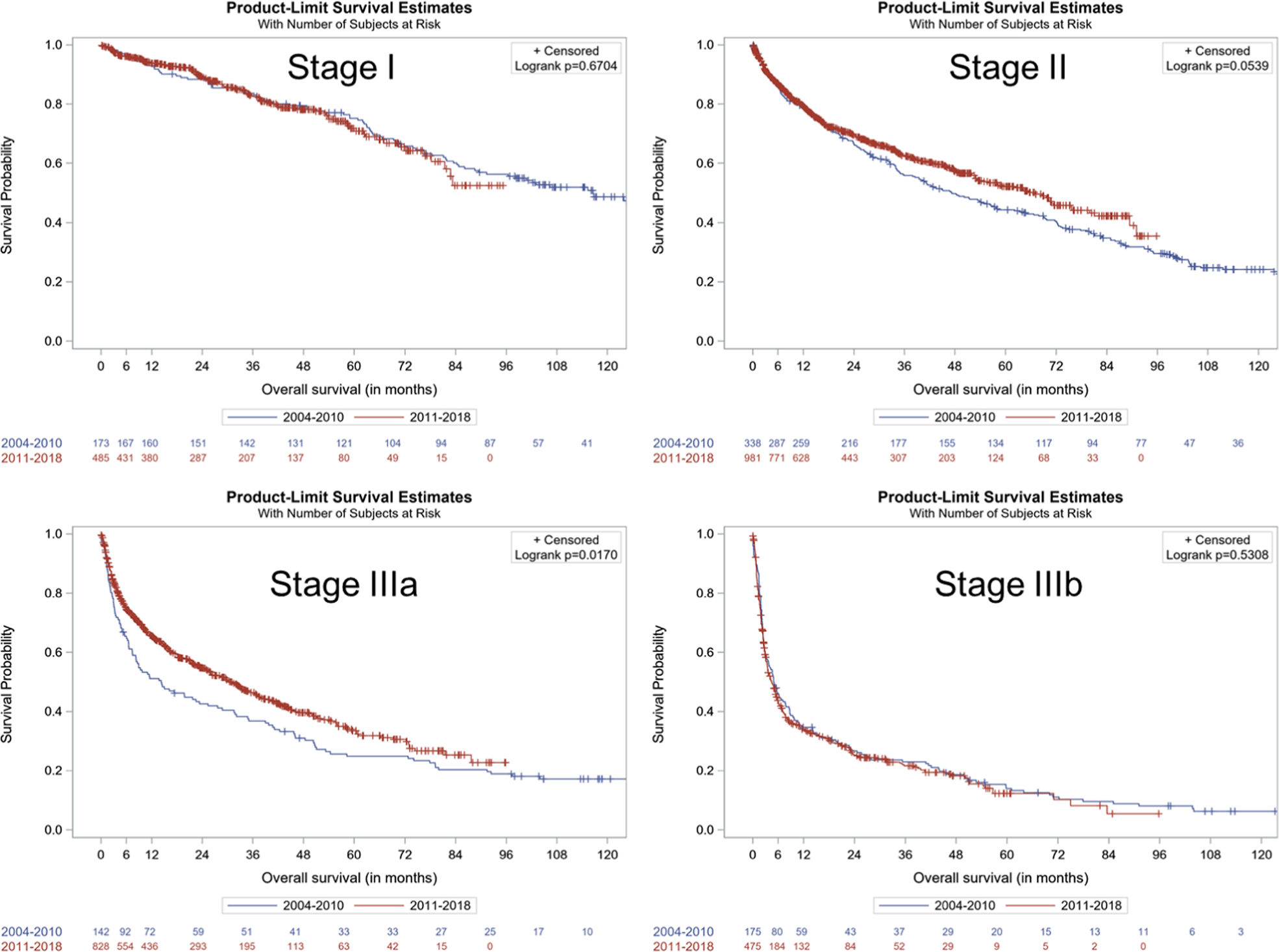
Fig. 1: Kaplan–Meier graph of overall survival by first-line treatment initiation period (pre- and post-2010) and Mayo2004/European stage at diagnosis.

Stage I, Stage II, Stage IIIa and Stage IIIb represent the comparison of survival curves in the pre- and post-2010, separately for the respective patient subgroups defined by Mayo 2004/European stage at diagnosis.