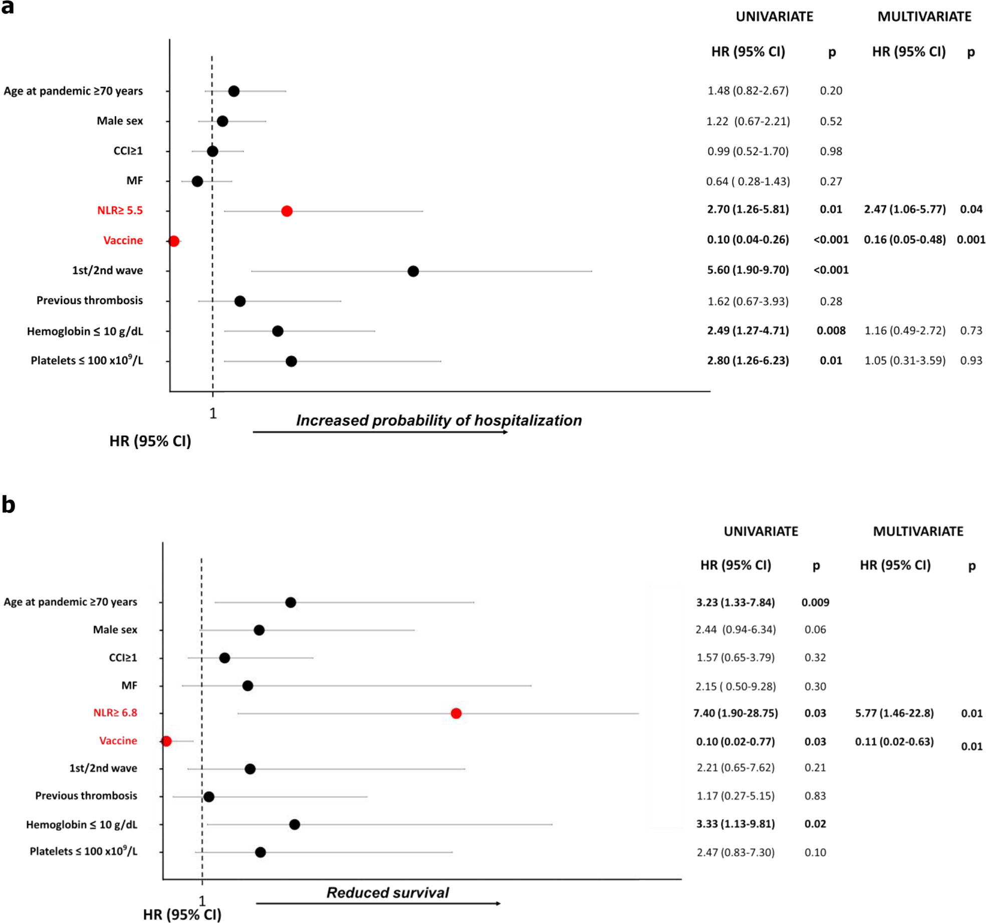
Fig. 1: Risk factors.

Risk factors associated with hospitalization (a) and survival after Covid19 (b). Overall, the percentage of patients aged ≥ 70 or with NLR ≥ 5.5 was comparable across the three Covid19 waves. Risk factors for hospitalization and mortality were calculated by Cox proportional hazard model.