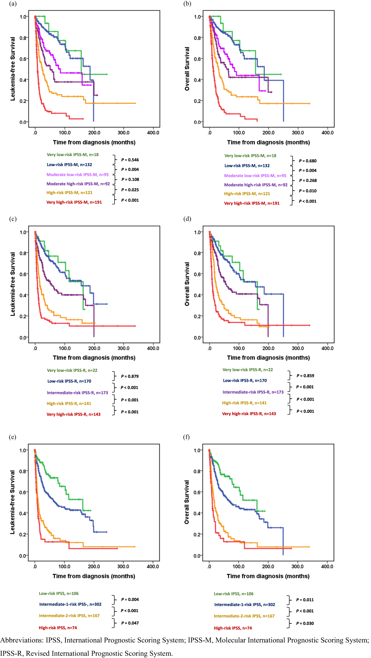
Fig. 2: Kaplan‒Meier curves for leukemia-free survival and overall survival in patients with myelodysplastic syndrome, classified using the IPSS-M, IPSS-R, or IPSS.

Leukemia-free survival (a) and overall survival (b), classified using the IPSS-M. Leukemia-free survival (c) and overall survival (d), classified using the IPSS-R. Leukemia-free survival (e) and overall survival (f), classified using the IPSS.