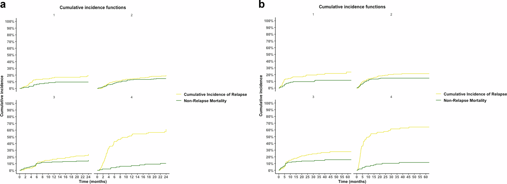
Fig. 2: Cumulative incidence of non-relapse mortality and relapse in the patients of this study according to the Allo-HCT Refined ELN 2022 risk classification.

Cumulative incidence of non-relapse mortality and relapse at 2 years (a) and at 5 years (b). 1: Favorable risk, 2: Intermediate Risk, 3: Adverse Risk, 4: Adverse Plus Risk.