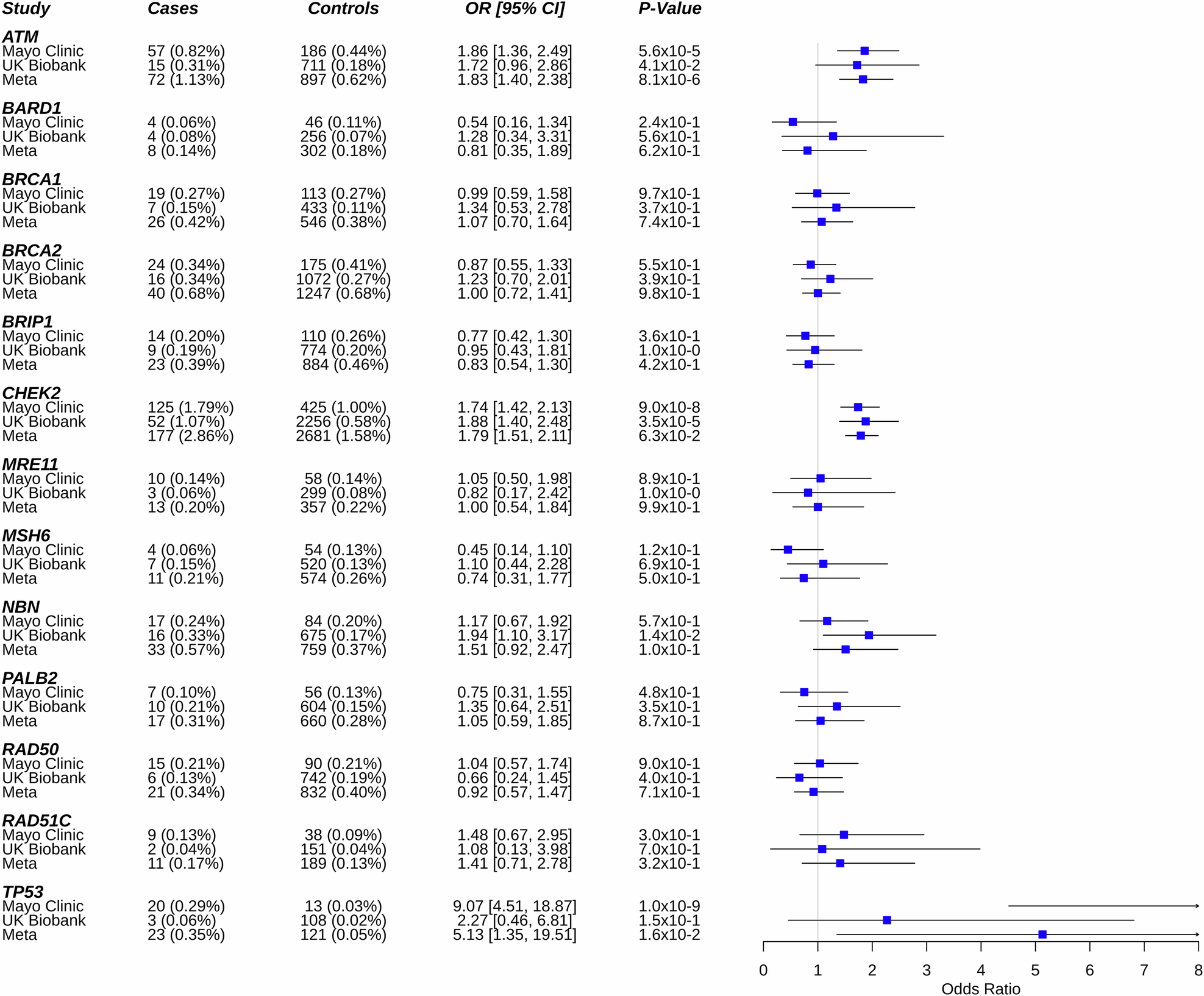
Fig. 1: Association between pathogenic variants in cancer predisposition genes and risk of lymphoid malignancy.
From: Risk of lymphoid malignancy associated with cancer predisposition genes

Estimates were adjusted for age and sex in the Mayo Clinic study. Univariate analysis was used in the UK Biobank cohort. OR Odds Ratio, CI Confidence Interval.