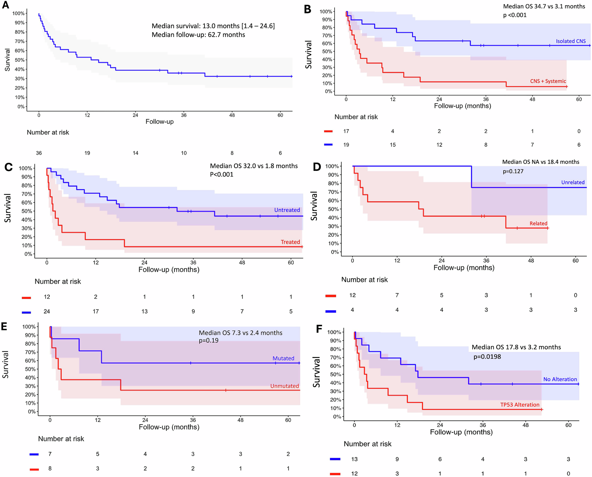
Fig. 1: Overall survival (OS) after confirmed CNS involvement of RT.

A OS after CNS involvement of RT (n = 36). B OS after CNS involvement of RT, stratified by isolated CNS versus concurrent systemic and CNS involvement. C OS stratified by prior CLL treatment (untreated vs treated). D OS by clonal relatedness (clonally unrelated vs. related). E OS by IGHV mutational status (mutated vs. unmutated). F OS by TP53 alteration status (altered vs. wild-type).