Abstract
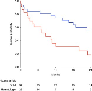
We aimed to assess the incidence and risk factors of secondary malignancy (SM) in the young adult patients who received high-dose chemotherapy (HDCT) for germ cell tumors (GCT). The EBMT database was interrogated. Criteria for patient selection included adult male GCT and HDCT administered in any line of therapy. Cumulative incidence methods were used to estimate the time-to-SM diagnosis. Univariable Fine and Gray proportional hazard regression evaluated risk factors of SM occurrence. From 1981 to 2015, 9153 autografts were identified. Among 5295 patients, 59 cases of SM, developed after a median follow-up of 3.8 years, were registered. Of these patients, 23 (39%) developed hematologic SM, 34 (57.6%) solid SM (two patients had uncoded SM). Twenty-year cumulative incidence of solid versus hematologic SM was 4.17% (95% CI: 1.78–6.57) versus 1.37% (95% CI: 0.47–2.27). Median overall survival after SM was significantly shorter for patients who developed hematologic SM versus solid SM (8.6 versus 34.4 months, p = 0.003). Age older than 40 years at the time of HDCT was significantly associated with hematologic, but not solid, SM development (p = 0.004 versus p = 0.234). SM occurrence post-HDCT showed different patterns of incidence and mortality in GCT. These data may be important to optimize patient selection, counseling and follow-up after HDCT.
This is a preview of subscription content, access via your institution
Access options
Subscribe to this journal
Receive 12 print issues and online access
$259.00 per year
only $21.58 per issue
Buy this article
- Purchase on SpringerLink
- Instant access to the full article PDF.
USD 39.95
Prices may be subject to local taxes which are calculated during checkout


Similar content being viewed by others
References
Horwich A, Shipley J, Huddart R. Testicular germ-cell cancer. Lancet. 2006;367:754–65.
Gatta G, Capocaccia R, Botta L, Mallone S, De Angelis R, Ardanaz E, et al. Burden of centralised treatment in Europe of rare tumours: results of RARECAREnet-a population-based study. Lancet Oncol. 2017;18:1022–39.
Necchi A, Lanza F, Rosti G, Martino M, Farè E, Pedrazzoli P. High-dose chemotherapy for germ cell tumors: do we have a model? Expert Opin Biol Ther. 2015;15:33–44.
Einhorn LH, Williams SD, Chamness A, Brames MJ, Perkins SM, Abonour R. High-dose chemotherapy and stem-cell rescue for metastatic germ-cell tumors. N Engl J Med. 2007;357:340–8.
Adra N, Abonour R, Althouse SK, Albany C, Hanna NH, Einhorn LH. High-dose chemotherapy and autologous peripheral-blood stem-cell rescue for metastatic germ-cell tumors: the Indiana University experience. J Clin Oncol. 2017;35:1096–102.
Feldman DR, Sheinfeld J, Bajorin DF, Fischer P, Turkula S, Ishill N, et al. TI-CE high-dose chemotherapy for previously treated germ cell tumors; results and prognostic factor analysis. J Clin Oncol. 2010;28:1706–13.
Necchi A, Miceli R, Bregni M, Bokemeyer C, Berger LA, Oechsle K, et al. Prognostic impact of progression to induction chemotherapy and prior paclitaxel therapy in patients with germ cell tumors receiving salvage high-dose chemotherapy in the last 10 years: a study of the European Society for Blood and Marrow Transplantation Solid Tumors working party. Bone Marrow Transplant. 2016;51:384–90.
Fung C, Fossa SD, Milano MT, Oldenburg J, Travis LB. Solid tumors after chemotherapy or surgery for testuicular nonseminoma: a population-based study. J Clin Oncol. 2013;31:3807–14.
Travis LB, Fossa SD, Schonfeld SJ, McMaster ML, Lynch CF, Storm H, et al. Second cancers among 40,576 testicular cancer patients: focus on long-term survivors. J Natl Cancer Inst. 2005;97:1429–39.
van den Belt-Dusebout AW, de Wit R, Gietema JA, Horenblas S, Louwman MEW, Ribot JG, et al. Treatment-specific risks of second malignancies and cardiovascular disease in 5-year survivors of testicular cancer. J Clin Oncol. 2007;25:4370–8.
Wanderas EH, Fossa SD, Tretli S. Risk of subsequent non-germ cell cancer after treatment of germ cell cancer in 2006 Norwegian male patients. Eur J Cancer. 1997;33:253–62.
Bokemeyer C, Schmoll HJ. Secondary neoplasms following treatment of malignant germ cell tumors. J Clin Oncol. 1993;11:1703–9.
Richiardi L, Scelo G, Boffetta P, Hemminiki K, Pukkala E, Olsen JH, et al. Second malignancies among survivors of germ cell cancer testicular cancer: a pooled analysis between 13 cancer registries. Int J Cancer. 2006;120:623–31.
Kier MG, Hansen MK, Lauritsen J, Mortensen MS, Bandak M, Agerbaek M, et al. Second malignant neoplasms and cause of death in patients with germ cell cancer: a Danish nationwide cohort study. JAMA Oncol. 2016;2:1624–7.
Chamie K, Kurzrock EA, Evans CP, Litwin MS, Koppie TM, Wotton-Gorges SL, et al. Secondary malignancies among nonseminomatous germ cell tumor cancer survivors. Cancer. 2011;117:4219–30.
Kollmannsberger C, Beyer J, Droz JP, Harstrick A, Harttmann JT, Biron P, et al. Secondary leukemia following high cumulative doses of etoposide in patients treated for advanced germ cell tumors. J Clin Oncol. 1998;16:3386–91.
Wierecky J, Kollmannsberger C, Boehlke I, Kuczyk M, Schleicher J, Schleucher N, et al. Secondary leukemia after first-line high-dose chemotherapy for patients with advanced germ cell cancer. J Cancer Res Clin Oncol. 2005;131:255–60.
Kollmannsberger C, Hartmann JT, Kanz L, Bokemeyer C. Therapy-related malignancies following treatment of germ cell cancer. Int J Cancer. 1999;83:860–3.
Travis LB, Andersson M, Gospodarowicz M, van Leeuwen FE, Bergfeld K, Lynch CF, et al. Treatment-associated leukemia following testicular cancer. J Natl Cancer Inst. 2000;92:1165–71.
Bajorin DF, Motzer RJ, Rodriguez E, Murphy B, Bosl GJ. Acute nonlymphocytic leukemia in germ cell tumor patients treated with etoposide-containing chemotherapy. J Natl Cancer Inst. 1993;85:60–62.
Fine JP, Gray RJ. A proportional hazards model for the subdistribution of a competing risk. J Am Stat Assoc. 1999;94:496–509.
Gray RJ. A class of K-sample tests for comparing the cumulative incidence of a competing risk. Ann Stat. 1988;16:1141–54.
Horwich A, Fossa SD, Huddart R, Dearnaley DP, Stenning S, Aresu M, et al. Second cancer risk and mortality in men treated with radiotherapy for stage I seminoma. Br J Cancer. 2014;110:256–63.
Hauptmann M, Fossa SD, Stovall M, van Leeuven GFE, Johannesen TB, Rajaraman P, et al. Increased stomach cancer risk following radiotherapy for testicular cancer. Br J Cancer. 2015;112:44–51.
Hauptmann M, Borge Johannesen T, Gilbert ES, Stovall M, van Leeuwen FE, Rajaraman P, et al. Increased pancreatic cancer risk following radiotherapy for testicular cancer. Br J Cancer. 2016;115:901–8.
Nichols CR, Roth BJ, Heerema N, Griep G, Tricot G. Hematologic neoplasia associated with primary mediastinal germ-cell tumors. N Engl J Med. 1990;322:1425–9.
Necchi A, Lo Vullo S, Rosti G, Badoglio M, Giannatempo P, Raggi D, et al. Administration of high-dose chemotherapy with stem cell support in patients 40 years of age or older with advanced germ cell tumours: a retrospective study from the European Society for Blood and Marrow Transplantation database. Bone Marrow Transplant. 2017;52:1218–20.
Author information
Authors and Affiliations
Consortia
Corresponding author
Ethics declarations
Conflict of interest
The authors declare that they have no conflict of interest.
Electronic supplementary material
Rights and permissions
About this article
Cite this article
Necchi, A., Lo Vullo, S., Secondino, S. et al. Secondary malignancies after high-dose chemotherapy in germ cell tumor patients: a 34-year retrospective study of the European Society for Blood and Marrow Transplantation (EBMT). Bone Marrow Transplant 53, 722–728 (2018). https://doi.org/10.1038/s41409-017-0079-z
Received:
Revised:
Accepted:
Published:
Version of record:
Issue date:
DOI: https://doi.org/10.1038/s41409-017-0079-z
This article is cited by
-
Nachsorge bei Hodentumoren
Urologie in der Praxis (2022)
-
Detection of secondary malignancy following high-dose chemotherapy in germ cell tumors: prospects and limitations
Bone Marrow Transplantation (2018)


