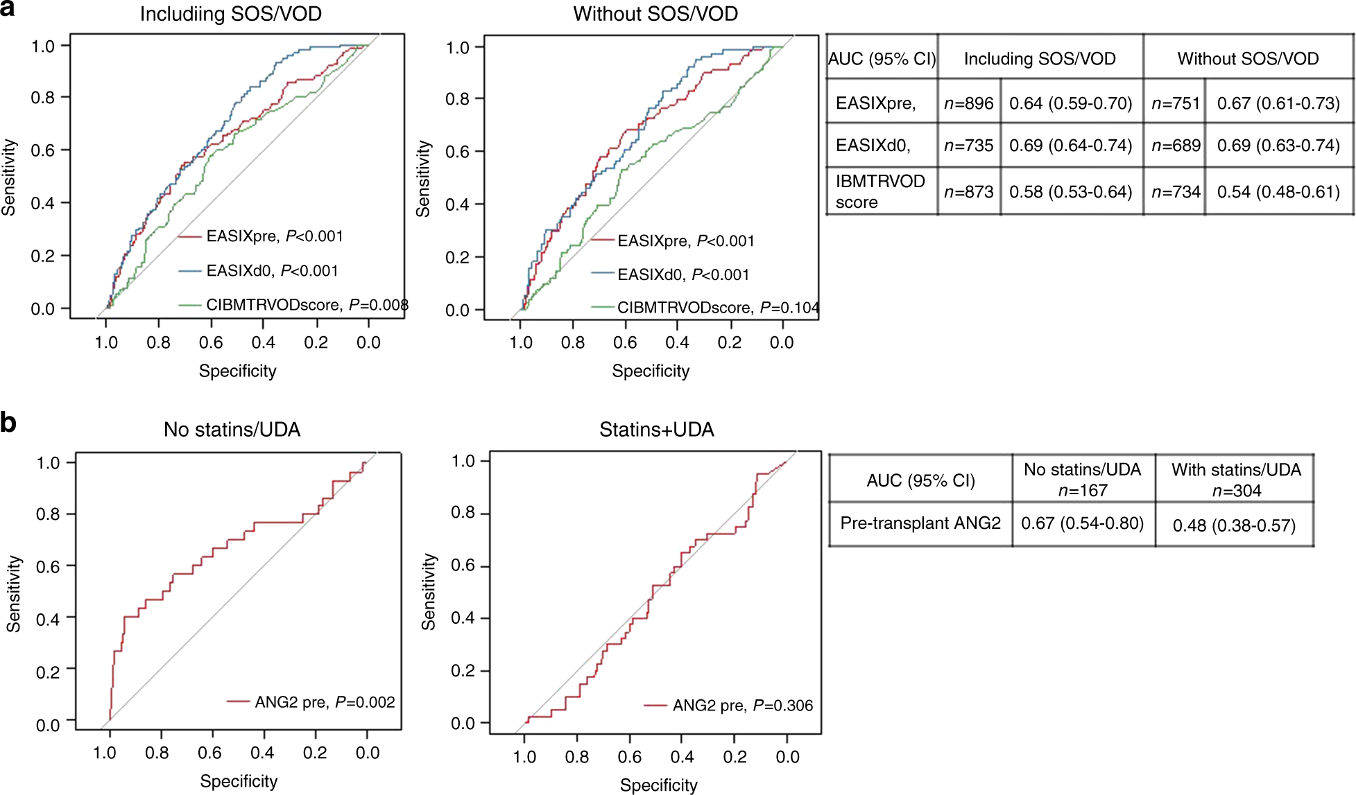
Fig. 3: EASIX and pretransplant angiopoietin-2 predict EB.
From: Early bilirubinemia after allogeneic stem cell transplantation—an endothelial complication

a ROC curves for EASIX-pre, EASIX d0, and the CIBMTR-COD score with endpoint EB (training cohort). Left panels: SOS/VOD patients are included, right panels: SOS/VOD patients are excluded. Tables show area under the curves (AUC) and confidential intervals (95%). b ROC curves for Angiopoietin-2 (ANG2) with endpoint EB (training cohort, SOS/VOD included). Left panel: no statin-based endothelial protection (SEP) with pravastatin and UDA, right panel: patients with SEP.