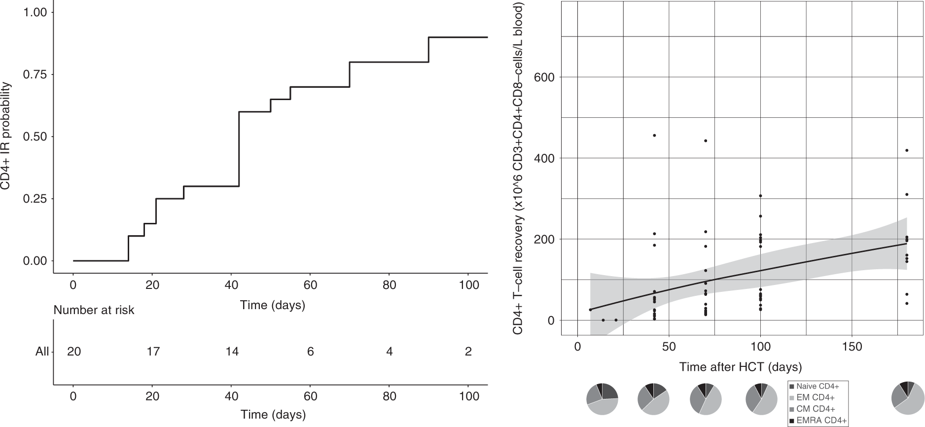
Fig. 1: CD4+T-cell reconstitution after omidubicel transplantation.

(Left) Cumulative incidence curve of CD4+IR probability after transplantation with omidubicel transplantation. CD4+ IR was evaluable in 20 patients and was defined as having >50*106 CD4+ T-cells/L in two consecutive measurements within 100 days after transplantation. (Right) Smoothened LOESS-curve with 95% confidence interval (gray area), with dots showing the data points, for absolute CD4+ T-cell counts following omidubicel transplantation. Each dot represents a single data point for a single patient. (Lower, right) Pie-charts of CD4+ T-cell subsets as percentages; naïve, effector memory (EM), central memory (CM), and EMRA T-cells, at 7–14, 21, 42, 70, and 180 days after transplantation.