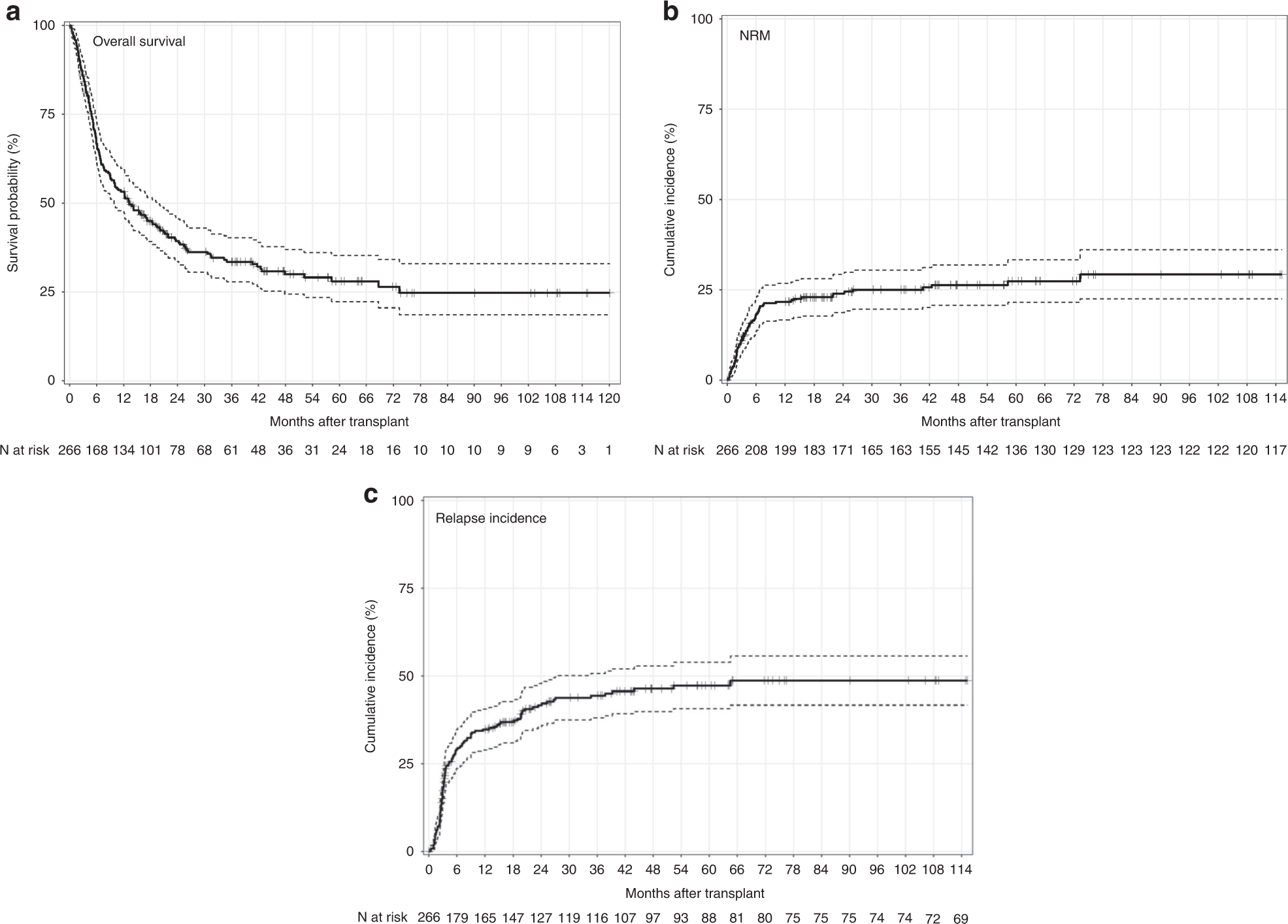
Fig. 1: Transplant outcomes (N = 266). | Bone Marrow Transplantation