Abstract
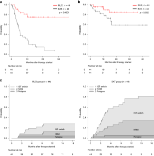
Established first-line therapy for chronic graft-versus-host disease (cGvHD) comprises corticosteroids with/without calcineurin inhibitors, but about half of cGvHD patients are refractory to corticosteroid therapy. The present study retrospectively analyzed treatment outcomes in 426 patients and undertook a propensity-score matching (PSM) analysis between ruxolitinib (RUX) treated group and a historical group of cGvHD patients treated with best available treatment (BAT). PSM process adjusted unbalanced risk factors between the 2 groups, including GvHD severity, HCT-CI score, and treatment line, extracting 88 patients (44 in BAT/RUX groups each) for final analysis. In PSM subgroup, RUX group showed 74.7% 12 months’ FFS rate vs 19.1% for BAT group (p < 0.001), whereas 12 months’ OS rates were 89.2% and 77.7%, respectively. Multivariate analysis for FFS confirmed RUX superiority over BAT together with HCT-CI score 0–2 vs ≥3. For OS, RUX was superior to BAT, while age ≥60 years and severe grade cGvHD adversely impacted OS. In PSM subgroup, at months 0, 3, and 6, 4.5%, 12.2% and 22.2% more patients in RUX group could discontinue prednisone compared to BAT group, respectively. In conclusion, the current study showed that for FFS, RUX was superior to BAT as second-line therapy or beyond in cGvHD patients after therapy failure.
This is a preview of subscription content, access via your institution
Access options
Subscribe to this journal
Receive 12 print issues and online access
$259.00 per year
only $21.58 per issue
Buy this article
- Purchase on SpringerLink
- Instant access to the full article PDF.
USD 39.95
Prices may be subject to local taxes which are calculated during checkout




Similar content being viewed by others
Data availability
Data are available upon request from the authors at their discretion.
References
Cooke KR, Luznik L, Sarantopoulos S, Hakim FT, Jagasia M, Fowler DH, et al. The biology of chronic graft-versus-host disease: a task force report from the National Institutes of Health Consensus Development Project on Criteria for Clinical Trials in Chronic Graft-versus-Host Disease. Biol Blood Marrow Transplant. 2017;23:211–34. https://doi.org/10.1016/j.bbmt.2016.09.023.
Lee SJ, Vogelsang G, Flowers ME. Chronic graft-versus-host disease. Biol Blood Marrow Transplant. 2003;9:215–33. https://doi.org/10.1053/bbmt.2003.50026.
Cho BS, Lee SE, Song HH, Lee JH, Yahng SA, Eom KS, et al. Graft-versus-tumor effect according to type of graft-versus-host disease defined by National Institutes of Health consensus criteria and associated outcomes. Biol Blood Marrow Transplant. 2012;18:1136–43. https://doi.org/10.1016/j.bbmt.2012.01.010.
Saillard C, Crocchiolo R, Furst S, El-Cheikh J, Castagna L, Signori A, et al. National Institutes of Health classification for chronic graft-versus-host disease predicts outcome of allo-hematopoietic stem cell transplant after fludarabine-busulfan-antithymocyte globulin conditioning regimen. Leuk Lymphoma. 2014;55:1106–12. https://doi.org/10.3109/10428194.2013.820285.
Zeiser R, Polverelli N, Ram R, Hashmi SK, Chakraverty R, Middeke JM, et al. Ruxolitinib for glucocorticoid-refractory chronic graft-versus-host disease. N Engl J Med. 2021;385:228–38. https://doi.org/10.1056/NEJMoa2033122.
Nieder ML, McDonald GB, Kida A, Hingorani S, Armenian SH, Cooke KR, et al. National Cancer Institute-National Heart, Lung and Blood Institute/pediatric Blood and Marrow Transplant Consortium First International Consensus Conference on late effects after pediatric hematopoietic cell transplantation: long-term organ damage and dysfunction. Biol Blood Marrow Transplant. 2011;17:1573–84. https://doi.org/10.1016/j.bbmt.2011.09.013.
Wolff D, Fatobene G, Rocha V, Kroger N, Flowers ME. Steroid-refractory chronic graft-versus-host disease: treatment options and patient management. Bone Marrow Transplant. 2021;56:2079–87. https://doi.org/10.1038/s41409-021-01389-5.
Penack O, Marchetti M, Ruutu T, Aljurf M, Bacigalupo A, Bonifazi F, et al. Prophylaxis and management of graft versus host disease after stem-cell transplantation for haematological malignancies: updated consensus recommendations of the European Society for Blood and Marrow Transplantation. Lancet Haematol. 2020;7:e157–e167. https://doi.org/10.1016/S2352-3026(19)30256-X.
Wu H, Shi J, Luo Y, Tan Y, Zhang M, Lai X, et al. Evaluation of ruxolitinib for steroid-refractory chronic graft-vs-host disease after allogeneic hematopoietic stem cell transplantation. JAMA Netw Open. 2021;4:e2034750. https://doi.org/10.1001/jamanetworkopen.2020.34750.
Zeiser R, Lee SJ, Three US. Food and Drug Administration-approved therapies for chronic GVHD. Blood. 2022;139:1642–5. https://doi.org/10.1182/blood.2021014448.
Novitzky-Basso I, Linn SM, White J, Elemary M, Xenocostas A, Hamad N, et al. Propensity score matching analysis comparing ruxolitinib vs historical controls in 2 nd line or beyond treatment for chronic Gvhd after therapy failure. Blood. 2021;138:1805. https://doi.org/10.1182/blood-2021-151683
Jagasia MH, Greinix HT, Arora M, Williams KM, Wolff D, Cowen EW, et al. National Institutes of Health Consensus Development Project on Criteria for Clinical Trials in Chronic Graft-versus-Host Disease: I. The 2014 Diagnosis and Staging Working Group report. Biol Blood Marrow Transplant. 2015;21:389–401.e381. https://doi.org/10.1016/j.bbmt.2014.12.001.
Sorror ML, Maris MB, Storb R, Baron F, Sandmaier BM, Maloney DG, et al. Hematopoietic cell transplantation (HCT)-specific comorbidity index: a new tool for risk assessment before allogeneic HCT. Blood. 2005;106:2912–9. https://doi.org/10.1182/blood-2005-05-2004.
Przepiorka D, Weisdorf D, Martin P, Klingemann HG, Beatty P, Hows J, et al. 1994 Consensus Conference on Acute GVHD Grading. Bone Marrow Transplant. 1995;15:825–8.
Inamoto Y, Storer BE, Lee SJ, Carpenter PA, Sandmaier BM, Flowers ME, et al. Failure-free survival after second-line systemic treatment of chronic graft-versus-host disease. Blood. 2013;121:2340–6. https://doi.org/10.1182/blood-2012-11-465583.
Inamoto Y, Flowers ME, Sandmaier BM, Aki SZ, Carpenter PA, Lee SJ, et al. Failure-free survival after initial systemic treatment of chronic graft-versus-host disease. Blood. 2014;124:1363–71. https://doi.org/10.1182/blood-2014-03-563544.
Kanda Y. Investigation of the freely available easy-to-use software ‘EZR’for medical statistics. Bone Marrow Transplant. 2013;48:452–8.
Solomon SR, Sizemore CA, Ridgeway M, Zhang X, Smith J, Brown S, et al. Corticosteroid-free primary treatment of chronic extensive graft-versus-host disease incorporating rituximab. Biol Blood Marrow Transplant. 2015;21:1576–82. https://doi.org/10.1016/j.bbmt.2015.04.023.
Streiler C, Shaikh F, Davis C, Abhyankar S, Brownback KR. Ruxolitinib is an effective steroid sparing agent in bronchiolitis obliterans due to chronic graft-versus-host-disease. Bone Marrow Transplant. 2020;55:1194–6. https://doi.org/10.1038/s41409-019-0662-6.
Khoury HJ, Langston AA, Kota VK, Wilkinson JA, Pusic I, Jillella A, et al. Ruxolitinib: a steroid sparing agent in chronic graft-versus-host disease. Bone Marrow Transplant. 2018;53:826–31. https://doi.org/10.1038/s41409-017-0081-5.
Redondo S, Esquirol A, Novelli S, Caballero AC, Garrido A, Onate G, et al. Efficacy and safety of ruxolitinib in steroid-refractory/dependent chronic graft-versus-host disease: real-world data and challenges. Transplant Cell Ther. 2022;28:43:e41–43.e45. https://doi.org/10.1016/j.jtct.2021.10.015.
Author information
Authors and Affiliations
Contributions
INB, SML, JW, ME, AX, UD, KK, NH, ST, SC, AL, RK, JM, DDHK contributed patient and treatment data for analysis. SML, DDHK collected data and undertook statistical analysis. INB, SML, DDHK reviewed the data and prepared the manuscript. INB, SML, JW, ME, AX, UD, KK, NH, ST, SC, AL, RK, JM, DDHK reviewed the analysis results and edited the manuscript.
Corresponding author
Ethics declarations
Competing interests
The authors declare no competing interests.
Additional information
Publisher’s note Springer Nature remains neutral with regard to jurisdictional claims in published maps and institutional affiliations.
Supplementary information
Rights and permissions
Springer Nature or its licensor (e.g. a society or other partner) holds exclusive rights to this article under a publishing agreement with the author(s) or other rightsholder(s); author self-archiving of the accepted manuscript version of this article is solely governed by the terms of such publishing agreement and applicable law.
About this article
Cite this article
Novitzky-Basso, I., Linn, S.M., White, J. et al. Propensity score matching analysis comparing the efficacy of Ruxolitinib to historical controls in second-line or beyond treatment for chronic GvHD after steroid failure. Bone Marrow Transplant 58, 1024–1032 (2023). https://doi.org/10.1038/s41409-023-02020-5
Received:
Revised:
Accepted:
Published:
Version of record:
Issue date:
DOI: https://doi.org/10.1038/s41409-023-02020-5


