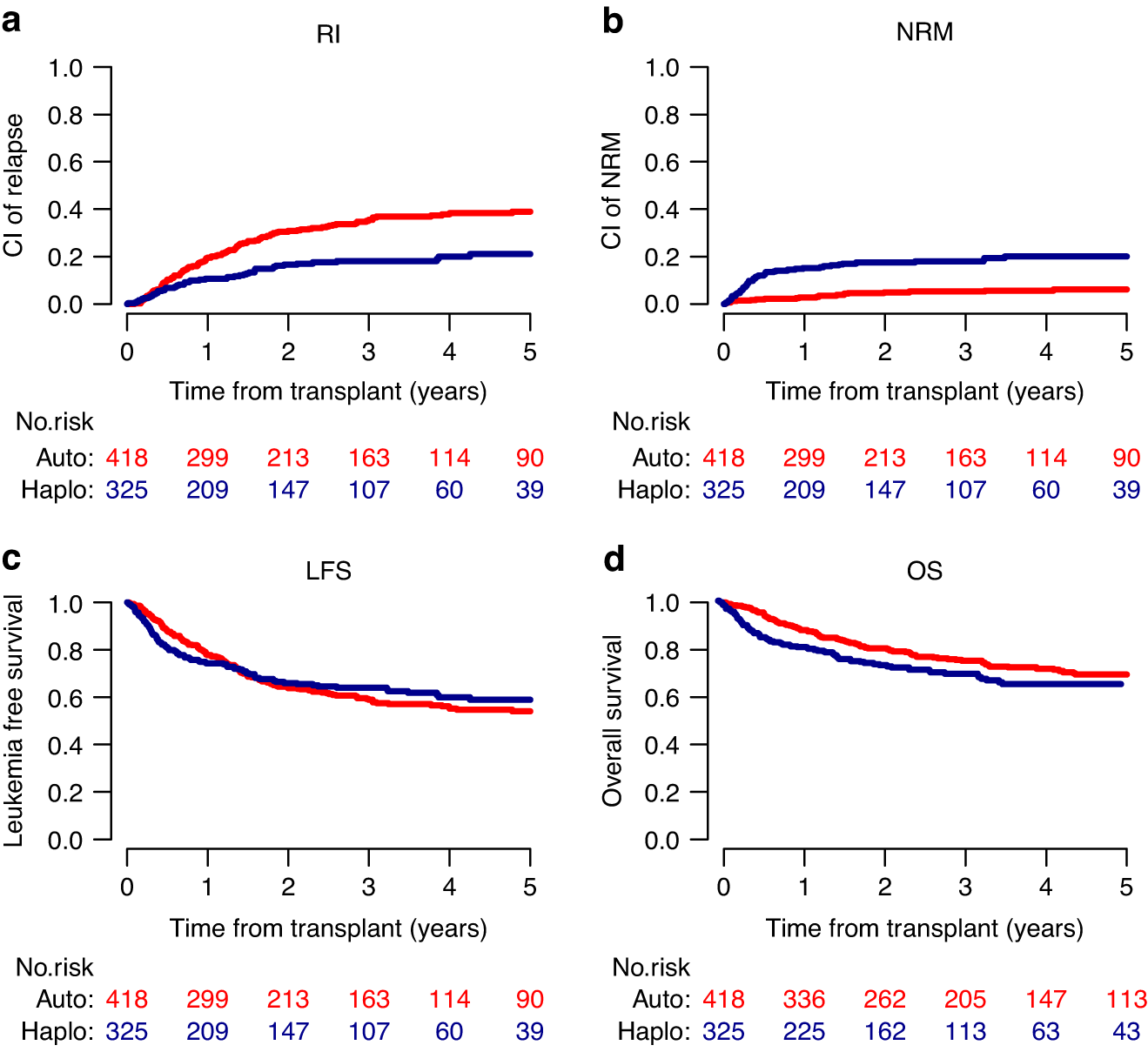
Fig. 1: Transplant outcomes of intermediate-risk AML adults with FLT3-wt in CR1 and uMRD: comparison between ASCT group and HAPLO group.

a Relapse incidence (RI) b Non Relapse Mortality (NRM) c Leukemia Free Survival (LFS) d Overall Survival (OS) comparison between ASCT group and HAPLO group.