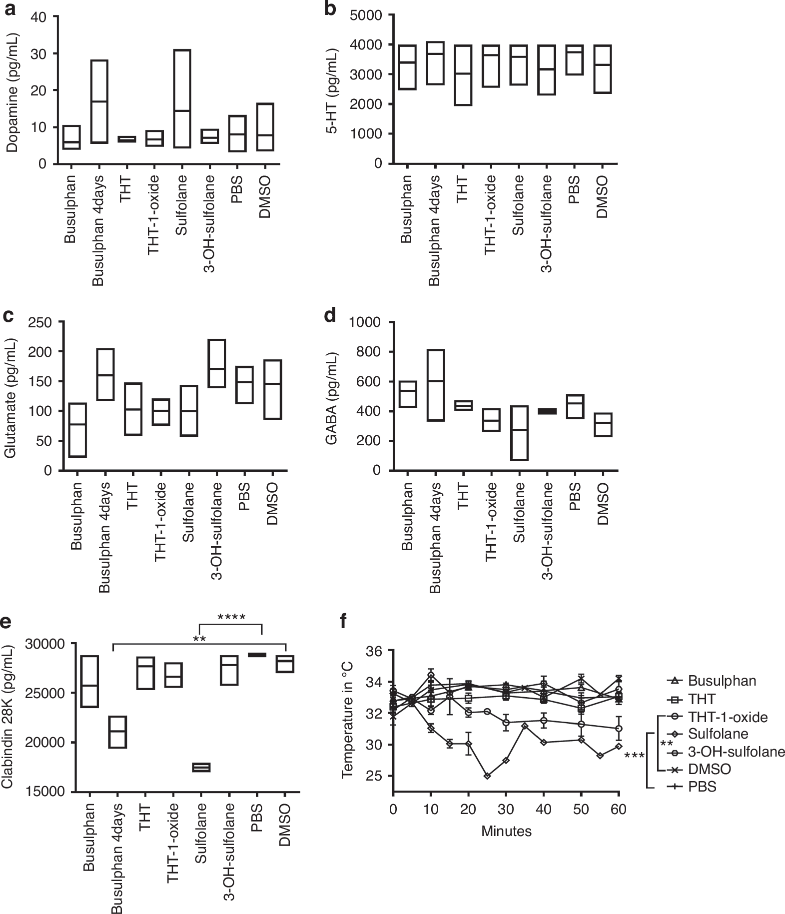
Fig. 3: Changes of neurotransmitters and temperature in mice.
From: Mechanisms underlying seizures and hypothermia during busulphan administration

Neurotransmitters were measured in mouse brain after i.p injection of Bu or one of its metabolites: a Dopamine, b 5-hydroxytryptamine (5-HT), c Glutamate, d GABA and e Calbindin 28 K. Temperatures were measured in mice at several time points after i.p injection of Bu or one of its metabolites; Mean ± SEM (f).